The Gulf War Air Campaign - Possible Chemical Warfare Agent Release at Al Muthanna, Feb. 8, 1991 (Final Report)

Many veterans of the Gulf War have expressed concern their unexplained illnesses may result from their experiences in that war. In response to veterans’ concerns, the Department of Defense established a task force in June 1995 to investigate incidents and circumstances relating to possible causes. The Office of the Special Assistant to the Deputy Secretary of Defense for Gulf War Illnesses assumed responsibility for these investigations on Nov. 12, 1996, and continued to investigate reports of chemical warfare agent incidents. Effective July 26, 2000, this office became the Office of the Special Assistant to the Secretary of Defense for Gulf War Illnesses, Medical Readiness, and Military Deployments, with continued responsibility for Gulf War issues.

To inform the public about the progress of these efforts, the DOD publishes on the Internet and elsewhere accounts that may contribute to the discussion of possible causes of illnesses of Gulf War veterans, along with documentary evidence or personal testimony used in compiling the accounts. This narrative is such an account.

I. Methodology

One prominent hypothesis about illnesses among Gulf War veterans is that some of the reported symptoms are the result of exposure to chemical warfare agents. During and after the Gulf War, some veterans reported that they had been exposed to chemical warfare agents. To investigate these incidents, and to assess the likelihood that chemical warfare agents were present in the Gulf, the Department of Defense developed a methodology for investigation and validation based on work done by the United Nations and the international community. The criteria include:

  • A detailed written record of the conditions at the site;
  • Physical evidence from the site such as weapons fragments, soil, water, vegetation or human/animal tissue samples;
  • A record of the chain of custody during transportation of the evidence;
  • The testimony of witnesses;
  • Multiple analyses; and
  • A review of the evidence by experts.

While the methodology (Tab D) used to investigate suspected chemical warfare agent incidents is based on these protocols, the passage of time since the Gulf War makes it difficult to obtain certain types of documentary evidence, and physical evidence was often not collected at the time of an event. Therefore, we cannot apply a rigid template to all incidents, and each investigation must be tailored to its unique circumstances. Accordingly, we designed our methodology to provide a thorough, investigative process to define the circumstances of each incident and to determine what happened. Alarms alone are not considered to be certain evidence of chemical warfare agent presence, nor is a single observation sufficient to validate the presence of a chemical warfare agent.

After following our methodology and accumulating anecdotal, documentary, and physical evidence; after interviewing witnesses and key service members; and after analyzing the results of all available information, the investigator assesses the validity of the presence of chemical warfare agents on the battlefield. Because we do not expect to always have conclusive evidence, we have developed an assessment scale (Figure 1) ranging from Definitely Not to Definitely, with intermediate assessments of Unlikely, Indeterminate, and Likely. This assessment is tentative, based on facts available as of the date of the report publication; each case is reassessed over time based on new information and feedback.

Figure 1. Assessment of chemical warfare agent presenceFigure 1. Assessment of chemical warfare agent presence

The standard for making the assessment is based on common sense: Do the available facts lead a reasonable person to conclude that chemical warfare agents were or were not present? When insufficient information is available, the assessment is Indeterminate until more evidence can be found.

II. Summary

The Special Assistant undertook this investigation because some Gulf War veterans expressed concern that they may have been exposed to chemical warfare agents released into the environment by a bombing raid on Iraq’s Al Muthanna chemical weapons storage site. This narrative describes how we investigated this concern and presents our assessment of the threat to veterans.

The State Establishment for Pesticide Production at Al Muthanna, near Samarra on the Tigris River, north of Baghdad, was the nucleus of Iraq’s entire chemical warfare program. By 1985, Iraq referred to the installation as the Muthanna State Establishment. It consisted of the Al Muthanna main site and three other sites near Al Fallujah, west of Baghdad. At Al Muthanna, the chemical warfare agent production and munition filling facilities were separate from chemical munition storage where Iraq stored chemical munitions in the open and in large, structurally hardened bunkers built in the form of a cross.

Early in the Iran-Iraq War, Iraq manufactured mustard and nerve chemical warfare agents at Al Muthanna and filled bombs, artillery shells, and rockets with them. Before the Gulf War, Iraq halted production of the nerve agent tabun, but produced the nerve agents sarin and cyclosarin instead. In mid-January of 1991, the Defense Intelligence Agency assessed that Iraq transferred chemical munitions from Al Muthanna during the week before the air campaign started. Nevertheless, because of its history, Al Muthanna and the rest of the Muthanna State Establishment were major targets in the air campaign of Operation Desert Storm.

Iraq’s response to United Nations Resolution 687 after the war declared that air attacks on Al Muthanna destroyed sarin-filled 122mm artillery rockets stored in a bunker there, but did not damage 122mm rockets stored in the open. United Nations inspectors estimated that, at the time of the bombing, the bunker identified as Bunker 2 contained between 1,000 and 1,500 leaking or problem-plagued sarin-filled 122mm rockets, probably left over from Iraq’s war with Iran. The Central Intelligence Agency accepts the United Nations estimate.

Our investigation determined that an F-117 attacked Bunker 2 at Al Muthanna early in the morning of Feb. 8, 1991, with a laser-guided bomb. Although the bomb caused little external damage to Bunker 2, it destroyed the sarin-filled 122mm rockets stored inside the bunker. Iraq reported that an extensive fire in Bunker 2 caused by the air attack consumed all the rockets and associated packing materials. United Nations photographs taken after the war confirmed this report.

The Central Intelligence Agency estimated that Bunker 2 contained 1.6 tons of viable chemical warfare agent at the time of its destruction, and that approximately 10 kilograms of the sarin escaped from Bunker 2 into the atmosphere in the first few seconds after the bomb exploded. After that time, the extreme temperatures inside the bunker destroyed all the remaining vaporized agent before it vented into the atmosphere.

We used a combination of meteorological and dispersion models as recommended by the Institute for Defense Analysis to estimate the dispersion of the sarin vapor cloud possibly released by this air attack. Using the Central Intelligence Agency estimates of the size and character of the chemical warfare agent released, our modeling shows the maximum downwind hazard extended approximately 50 kilometers to the southeast of Al Muthanna.

On Feb. 8, 1991, the closest U.S. forces were 412 kilometers south of Al Muthanna and 388 kilometers south of the nearest point of the downwind hazard area that might have resulted from the attack on Bunker 2 at Al Muthanna. Therefore, we assess that the hazard area of the possible sarin release at Al Muthanna definitely did not extend far enough to reach any deployed U.S. forces, and any chemical warfare agent released from Bunker 2 at Al Muthanna definitely did not expose US servicemembers to hazardous levels of contamination.

III. Narrative

In August 1996, the Central Intelligence Agency published a report describing its examination of the possible release of chemical warfare agents from Al Muthanna. The CIA report concludes that the potential hazard from a possible chemical warfare agent release extended no more than 160 kilometers (less than 100 miles) downwind from Al Muthanna, well short of U.S. forces.[2]

Despite this report, veterans and others continued to speculate about the possible effects of Coalition bombing releasing chemical warfare agents. Consequently, the Office of the Special Assistant to the Deputy Secretary of Defense for Gulf War Illnesses (now the Office of the Special Assistant to the Secretary of Defense for Gulf War Illnesses, Medical Readiness, and Military Deployments) decided to re-evaluate whether Gulf War veterans may have been exposed to chemical warfare agents possibly released by Coalition air attacks on Al Muthanna. The CIA agreed to support the re-evaluation.

On Nov. 2, 1996, the DOD and CIA requested the Institute for Defense Analyses to convene an independent panel of experts in meteorology, physics, chemistry, and related disciplines[3] to review the computer modeling by CIA related to Gulf War investigations. The IDA panel recommended using some non-DOD models and a combination of models to improve the results of our modeling.[4]

The Special Assistant decided this revised modeling methodology would improve results for all of our modeling; consequently, he promised the Congress to reexamine the possible release at Al Muthanna using this methodology[5] . The CIA supported this reexamination with a detailed re-analysis of Al Muthanna that studied United Nations Special Commission on Iraq (UNSCOM) photography, inspection reports, and interviews, and examined documentation and data sources unavailable in 1996.

This narrative incorporates the results of the CIA’s re-examination of the potential release of chemical warfare agents from Al Muthanna and the IDA panel’s recommended revisions in modeling to clarify the possible threat to U.S. forces from a chemical warfare agent release from Al Muthanna’s Bunker 2. This narrative does not assess the possibility of chemical warfare agent releases due to leaking munitions or destruction of, or damage to, production or munitions-filling facilities in other parts of the Al Muthanna complex.

1. The Al Muthanna Site 

In 1982, Iraq’s intelligence service established what it described as a pesticide production plant, near Samarra.[6] The processes and equipment used to produce pesticides are very closely related to those producing chemical warfare agents, particularly nerve agents, because the compounds are so similar.[7] Iraq located the State Establishment for Pesticide Production in sparsely populated, semi-arid country approximately 80 kilometers northwest of Baghdad and 50 kilometers southwest of the city of Samarra on the Tigris River.[8]

This installation, which various sources also call Samarra, Al Muthanna, or the Muthanna State Enterprise, was the basis of the Al Muthanna State Establishment created in 1985.[9] At the time of the Gulf War, the Al Muthanna State Establishment was the nucleus of Iraq’s entire chemical ammunition program. A large complex dispersed over approximately 170 square kilometers,[10] it consists of a main site, which US forces called Al Muthanna, and three subordinate sites (Fallujah 1, 2, and 3) located west of Baghdad near the city of Al Fallujah (Figure 2).[11]

Figure 2. Chemical production sites of the Muthanna State EstablishmentFigure 2. Chemical production sites of the Muthanna State Establishment

UN inspectors reported that Iraq started constructing Fallujah 1 in 1985, but suspended work in 1987 at the end of the Iran-Iraq War.[12] It never had operational chemical warfare production or storage facilities. Fallujah 2 produced chlorine, but never achieved large-scale production of other chemical warfare precursors. Fallujah 3 produced pesticides but never produced chemical warfare agents.[13] Bombing during the Gulf War air campaign extensively damaged all three sites.

The Muthanna State Establishment main facility (Figure 3) occupied approximately 25 square kilometers.[14] Hereafter referred to as Al Muthanna, it included areas to research, develop, produce, store, and fill munitions with chemical warfare agents. The agent production area consisted of nine buildings and bunkers used to manufacture bulk chemical warfare agents. The munitions filling area consisted of three filling lines with separate warehouses to store materiel. The bunker storage area had eight cruciform (cross-shaped) bunkers to store chemical ammunition and bulk agent.[15] Al Muthanna also included a materiel storage area, a site to manufacture Teflon containers for chemical products,[16] and a chemical warfare agent destruction site.[17] Figure 4 is a schematic diagram of the bunker storage area.[18] The bunker marked "2" is the structure the CIA identified as the source of the chemical warfare agent release at Al Muthanna.

Figure 3. The Muthanna State Establishment main facilityFigure 3. The Muthanna State Establishment main facility
Figure 4. Schematic diagram of the bunker storage area at the Muthanna State EstablishmentFigure 4. Schematic diagram of the bunker storage area at the Muthanna State Establishment

2. Al Muthanna’s Role in Iraq’s Chemical Warfare Infrastructure

In 1991, US intelligence estimated Iraq’s annual chemical warfare agent production capacity at between 2,500 and 3,000 metric tons.[19] Iraq manufactured the chemical warfare agents sarin, cyclosarin, and mustard at Al Muthanna, and filled bombs, artillery shells, and rockets with them.[20]

Because of the poor quality of the final product and its short storage life, Iraq did not stockpile chemical munitions and reduced production between 1987 and 1990.[21] The US intelligence community estimated that Iraq dispersed most of the munitions that had been filled with chemical warfare agents to about twenty storage sites and air bases outside of Al Muthanna before the 1991 air war started.[22]

3. Iraq’s Declarations and US Intelligence Estimates

Iraq reported it resumed producing chemical warfare agents and filling chemical munitions at Al Muthanna in 1990.[23] US intelligence reports of observed transportation activity between Al Muthanna’s filling compound and storage areas in July and September of 1990 support Iraq’s claim.[24] Iraq began to fill artillery rockets in December 1990, and had filled 7,000 rockets by January 5, 1991. It filled an additional 1,320 rockets by January 9, 1991.[25]

Iraq reported it deployed these munitions to military depots before Operation Desert Storm. It moved 2,160 122mm rockets filled with a nerve agent from Al Muthanna to Khamisiyah between January 11 and 15, 1991, immediately before the air war.[26] UNSCOM stated that Iraq’s May 13, 1996, declaration reported 4,100 sarin-filled 122mm rockets stored at the Mymona depot and 2,160 at Khamisiyah. After the war, Iraq moved the rockets back to Al Muthanna.[27]

UNSCOM inspectors estimate that Al Muthanna’s Bunker 2 contained between 1,000 and 1,500 rockets of various types when it was destroyed.[28] The CIA accepts UNSCOM’s assessment that Iraq correctly reported the rockets in Bunker 2 were leaking or problem-plagued munitions filled in 1988 during the Iran-Iraq War. The CIA estimates the rockets destroyed in Al Muthanna’s Bunker 2 contained only sarin. Iraq also reported that the air attacks did not damage an additional 6,120 rockets stored in the open at Al Muthanna.[29]

Impure or improperly stored sarin is unstable and degrades over time. US experts consider chemical warfare agents less than 50 percent pure to be militarily ineffective.[30] Western sources estimate the sarin Iraq produced never exceeded 60 percent purity, and Iraq reported that poor operating practices at Al Muthanna limited the purity of sarin to between 20 and 50 percent. Since it contained at least 40 percent impurities when manufactured, sarin produced at Al Muthanna had a short shelf life.[31] The CIA estimates the chemical warfare agent in the rockets stored at Al Muthanna had deteriorated to approximately 18 percent purity by the time that Bunker 2 was destroyed, leaving about 1600 kilograms (1.6 metric tons) of viable sarin.[32]

Air attacks against Al Muthanna began on the first day of the air campaign, Jan. 17, 1991, and continued through Feb. 23, 1991 (Tab F). The United States launched at least 31 Tomahawk Land Attack Missiles and flew 87 F-117 sorties against Al Muthanna. The TLAMs attacked the more vulnerable buildings and other infrastructure targets, while the F-117s attacked with precision-guided bombs the hardened storage bunkers and other facilities.

1. The Weapons System

Beginning in the early morning of Jan. 17, 1991, US Navy ships launched TLAMs (Figure 5) against chemical and missile targets for four days, but TLAMs were not effective against hard targets such as the Al Muthanna bunkers.[33] Launched from either a submarine or a surface ship, the TLAM is a long-range, subsonic land attack cruise missile.

Figure 5.  Tomahawk Land Attack Missile launches against a target in IraqFigure 5. Tomahawk Land Attack Missile launches against a target in Iraq

Two flights of United States Navy A-6E Intruder aircraft attacked Al Muthanna on January 19, 1991, with GBU-10 and Mk-84 non-guided bombs (Tab F).[34] The GBU-10 is a laser-guided, 2000-pound bomb the pilot can guide to the target after release.[35] The Mk-84 is a 2,000-pound free-fall non-guided bomb.[36] The Intruder is a US Navy carrier-launched, ground-attack aircraft (Figure 6).[37]

Figure 6. US Navy A-6 IntruderFigure 6. US Navy A-6 Intruder

United States Air Force F-117s (Figure 7) armed with GBU-10 laser guided bombs first attacked Bunkers 1 and 4 at Al Muthanna on Feb. 4, 1991 (Tab F.)[38] The F-117 Nighthawk is the first operational aircraft using stealth technology.[39]

Figure 7. US Air Force F-117Figure 7. US Air Force F-117

2. Strikes Against Al Muthanna

According to U.S. Central Command Air Tasking Orders, the U.S. Navy launched 19 TLAMs against Al Muthanna targets on Jan. 17, 1991, and 12 more on January 19 and 20. Three U.S. Navy A-6 aircraft dropped 12 GBU-10 bombs and 3 additional A-6s dropped 12 Mk-84 bombs on January 19th (Tab F). Three more A-6s delivered Mk-84 bombs on Jan. 27, 1991. These attacks proved relatively ineffective against the reinforced cruciform bunkers.[40]

Beginning Feb. 3, 1991, and continuing for 20 days, USAF F-117s attacked Al Muthanna with GBU-10 and GBU-27 bombs (Tab F).[41] The GBU-27 is a 2,000-pound laser-guided bomb with a warhead capable of penetrating hardened structures like Al Muthanna’s Bunker 2.[42]

On Feb. 3, 1991, F-117s dropped 1 GBU-27 and 5 GBU-10 bombs on suspected chemical ammunition storage bunkers. The F-117s returned and dropped 55 more GBUs on suspected chemical warfare agent bunkers between February 7 and 8. Finally, on Feb. 23, 1991, F-117s dropped 10 GBU-27 bombs on the Al Muthanna bunkers (Tab F). Aircraft video that F-117 pilots routinely used to preserve the history of their attacks against targets in Iraq confirmed these events.

The Combat Mission Report for US Air Force mission 3323B (Tab F) reports it destroyed Bunker 7 at Al Muthanna on Feb. 8, 1991.[43] However, our careful review of the gun camera film from this mission revealed it actually attacked Bunker 2.[44] Since the mission flew at night in a hostile environment, it was easy for the pilot to mistake which bunker he struck.

We used the Weapons Effects and Performance Data Archival (WEAPDA) system developed by the Defense Special Weapons Agency (now named the Defense Threat Reduction Agency) to review the weapon effects, mission, and target data collected and assembled for most of the successful F-117 attacks on Al Muthanna. WEAPDA video shows that an F-117 attacked Bunker 2 with a GBU-10 on Feb. 8, 1991. It shows the GBU-10 flying into a crater from a previous bomb strike. The video of this attack captured the expulsion of smoke and dust from Bunker 2.[45] Additional frames show several previous hits on Bunker 2, later confirmed on site by UNSCOM inspectors.[46] However, these other attacks did not penetrate the structure.

3. Battle Damage Assessment

The Department of Defense defines battle damage assessment as "the timely and accurate estimate of damage resulting from the application of military force [e.g., bombs, rockets, or strafing] ."[47] The BDA reports on Al Muthanna are physical, functional intelligence assessments of the installation’s operational capability. Because U.S. forces did not occupy Al Muthanna, BDA depended on aerial surveillance, including the aircraft videos from the bombing attacks.

Iraq stored filled chemical ammunition at Al Muthanna in the bunker storage area located at the north end of the Al Muthanna State Establishment main facility (Figure 3.) Iraq stored these weapons in partially buried bunkers constructed of reinforced concrete protected by several overlapping layers of sand, concrete, and earth.

During the war, BDA for Al Muthanna indicated the destruction of one bunker and superficial damage to the remaining seven.[48] The bunker reportedly destroyed, number 4 in Figure 8, suffered catastrophic destruction, probably because it held a large quantity of conventional high explosive munitions.[49] UNSCOM estimated that Bunker 4 held between 200,000 and 400,000 pounds of bulk high explosives.[50]

Figure 8. Aerial view of bunker storage area at Al MuthannaFigure 8. Aerial view of bunker storage area at Al Muthanna

U.S. post-war intelligence estimated only four of the eight cruciform bunkers at Al Muthanna survived the air attacks without internal damage. Post-war on-site inspection revealed Bunker 2 was unusable. It had burned, and was filled with charred rocket bodies. No traces of chemical warfare agent residue were in or around Bunker 2, but a low-level vapor hazard, probably emanating from damaged and leaking 122mm rockets stored in the open, existed around some outbuildings.[51] UN inspectors verified that, of the eight cruciform bunkers at Al Muthanna, only one, later identified as Bunker 2, contained rockets with chemical warheads.[52]

4. UNSCOM Information on Bunker 2

UNSCOM inspectors conducted their first chemical inspection of Al Muthanna during early June 1991. The UNSCOM inspectors found evidence of repeated air attacks during the hostilities, and the site was very dangerous because of damaged chemical ammunition and unexploded ordnance.[53]

Iraq declared that Coalition bombing at Al Muthanna destroyed 2,500 chemical rockets containing sarin stored in Bunker 2. UNSCOM inspectors, however, were unable to verify the exact number because of the damage to the rockets.[54]

Using UNSCOM's estimate that Bunker 2 contained no more than 1,500 rockets filled with chemical warfare agent when destroyed, CIA estimates the agent in the rockets stored in Al Muthanna Bunker 2 had deteriorated to approximately 18 percent purity by the Feb. 8, 1991, air strike, leaving about 1600 kilograms (1.6 metric tons) of viable agent.[55] CIA conducted modeling supporting this narrative as part of its reexamination of the potential release at Al Muthanna. This reexamination projected that a maximum of only 10 kilograms of sarin escaped from Bunker 2 during the first few seconds after the detonation. After that time, extreme temperatures caused by the bomb detonation and subsequent fire within the bunker, confirmed by Iraq, destroyed all remaining viable agent before it vented into the atmosphere.

Figure 9 is an aerial photograph taken after the war of Bunker 2 at Al Muthanna. The hole in the top of the bunker at the center of the cross is the destructive penetration caused by the air attack

Figure 9. Al Muthanna cruciform chemical ammunition storage Bunker Number 2Figure 9. Al Muthanna cruciform chemical ammunition storage Bunker Number 2

on Feb. 8, 1991. The size of the bunker is indicated by the fact that the bomb hole is six meters (19.5 feet) in diameter.[56] The main entrance to Bunker 2 is at the opposite end from where the photograph was taken. Iraq stored munitions in the bunker transept extending left and right in the photograph.

Ground photography clearly shows damage to the bunker. Figure 10 shows the hole in the bunker’s roof as seen by a person standing on top of the bunker. This hole penetrates through the seven-meter thick roof.[57] Figure 10 does not show any debris of munitions outside the hole.

Figure 10. Hole in Bunker 2, Al MuthannaFigure 10. Hole in Bunker 2, Al Muthanna

Figure 11 is a close-up photograph looking through the hole into the interior of Bunker 2. It shows the steel reinforcing rods hanging from the concrete roof into the bunker and rocket remains among the rubble caused by the detonation of the bomb dropped by the US Air Force that penetrated the roof of Bunker 2. It shows most of the debris is inside the bunker and all the steel reinforcing rods are bent down from the heat and force of the detonation.

Figure 11. View into the hole in Bunker 2Figure 11. View into the hole in Bunker 2

Figure 12 is a photograph taken through the Bunker 2 entrance with the bunker number at the top of the photograph. It shows the soot stained walls and ceiling, and melted plastic hanging from the fluorescent light fixtures.[58] Thermoplastics begin to melt at temperatures above 100� Celsius (212 degrees Fahrenheit).[59] Since the heat near the entrance to the bunker must have exceeded that temperature for some period of time, the internal temperature of the bunker where the weapons were stored must have exceeded 150� Celsius, the decomposition temperature of sarin.[60]

Figure 12. View into Bunker 2 through the main doorFigure 12. View into Bunker 2 through the main door

The photographs indicate the attack on Bunker 2 at Al Muthanna caused an intense fire within the structure, probably fed by burning rocket fuel and packing materials. They also show that debris from the bunker’s roof buried many of the rockets. This evidence supports the CIA estimate that most of the chemical warfare agent stored in the bunker either decomposed in the fire’s intense heat, or was buried in the debris from the bunker’s roof.

Determining how the air campaign against Al Muthanna may have affected U.S. forces required relying heavily on modeling and simulation to estimate the chemical warfare agent release resulting from the destruction of Bunker 2. The intense activity of the air campaign at the time of the attacks and the site’s remoteness limited battle damage assessment and prevented sampling or on-site inspection to determine whether chemical warfare agents were released at the time of the attack. To the best of our knowledge, Iraq did not collect or record such data. In addition, our investigators found some units reused bombing mission videotapes by recording over previous missions resulting in information gaps about the air war record.

1. Investigation

Our Al Muthanna investigation initially focused on identifying and collecting the data to run dispersion models. The dispersion models project the direction and distance the chemical warfare agent travels after release, and they project the extent a chemical warfare agent travels downwind under the given weather conditions. They require inputs that quantify weather conditions and characterize the source of the agent. We conducted meteorological modeling to quantify the weather conditions. We used CIA-provided data identifying the chemical warfare agent and how much was released into the environment by the bombing attack on Al Muthanna Bunker 2.[61]

2. Modeling

We adopted a modeling process applying a combination of dispersion and atmospheric models. We relied on data from numerous government agencies, including DOD agencies, and the intelligence community. We also used civilian meteorological sources. Tab E describes our modeling process.

To provide weather data for modeling the possible chemical warfare agents dispersion from Al Muthanna, our meteorological modeling developed a large-scale regional weather description. We in turn used this description to generate detailed, high resolution, quantitative fields for such values as wind direction and velocity, humidity, and temperature. We then fed these values and the characteristics of the release into dispersion models that show how the atmosphere transports chemical warfare agents. Tab E describes how we applied the process to Al Muthanna.

Our weather models predicted steady surface winds before 8 a.m. local time over Al Muthanna on Feb. 8, 1991, generally from the northwest at six miles per hour. The winds weakened somewhat in late morning, but resumed at about six miles per hour in the afternoon, when the prevailing wind direction was still from the northwest.

We modeled sarin’s dispersion as a vapor in the dispersion models for three reasons: vapor is the form of agent release that usually results from an air attack; sarin is most likely to cause casualties in a vapor state; and a vapor release extends over the largest geographical area.

3. Results

Each dispersion model produces a potential hazard area that encompasses the geographical area inside of which an unprotected population present at the time would be exposed to hazardous levels of chemical warfare agent. This is measured as dosage, the cumulative exposure to a chemical warfare agent measured over time.[62]

The military is concerned with lethal and incapacitating vapor concentrations, and concentrations causing first noticeable effects, because they immediately impact military combat operations. These standard dosages are calculated for healthy people weighing approximately 155 pounds who are engaged in light activity causing a breathing rate of 16 quarts of air per minute.[63] If exposed people engage in more strenuous activity or are of different weights, the time of exposure required for them to absorb a dose is different.

For our modeling, each dispersion model projects a potential hazard area representing the general population limit (GPL), a much lower dosage than the military uses. The GPL defines the dosage limit below which any member of the general population, which includes infants and the infirm, could be exposed (e.g., inhale) seven days a week, every week, for a 70 year lifetime, without experiencing any adverse health effects. Scientists performed exposure testing and computed the GPL from the results of that testing as modified by uncertainty factors such as short-term to long-term exposure, and average sensitivity of the human population.

Since the release from Bunker 2 at Al Muthanna caused a one-time exposure lasting only a few hours, we used the GPL for a short-term exposure based on the recommendation of the U.S. Army’s Center for Health Promotion and Preventive Medicine to model the hazard area.[64] The potential hazard area, Figure 13, shows the maximum size and boundaries of the area inside which people may have been exposed to a sarin concentration equal to or exceeding the short-term GPL. Any person outside the potential hazard area suffered no such exposure.

Our modeling shows that the potential hazard area reached its largest size about 12 hours after the attack on Bunker 2, extending approximately 55 kilometers to the southeast of Al Muthanna. After that time, models predict that the possible chemical warfare agent hazard rapidly dissipated, and disappeared within a few hours.

In the modeling results shown in Figure 13, the small dark dots represent U.S. unit locations on the day the destruction of Bunker 2 at Al Muthanna possibly released chemical warfare agent. This plot clearly shows no U.S. military units were in the potential hazard area caused by this incident. All U.S. forces were at least 388 kilometers (241 miles) from the maximum extent of the potential hazard area for sarin.

Figure 13. Downwind hazard from Al Muthanna Bunker 2Figure 13. Downwind hazard from Al Muthanna Bunker 2

IV. Assessment

Our analysis determined a laser-guided bomb delivered by an F-117 definitely penetrated Bunker 2 at Al Muthanna during an air raid at 2:30 a.m. on Feb. 8, 1991. Gun camera photography confirms this assessment. Although the external damage to Bunker 2 appears minor, Iraq reported that an intensive fire destroyed everything inside the bunker and consumed all the rockets and associated packing materials. UNSCOM photography confirms that an intensive fire destroyed the bunker contents.

It is unlikely more than 1,500 122mm rockets were in Bunker 2 when it was destroyed. UNSCOM inspectors estimated that not more than 1,500 rockets, and as few as 1,000 122mm rockets of various types were in the bunker at that time. The CIA determined it was likely Iraq had filled the warheads of the rockets stored in Bunker 2 with the nerve agent sarin during the war with Iran, which ended in 1988. According to CIA’s assessment, the chemical warfare agent in the rockets stored at Al Muthanna had deteriorated to approximately 18 percent purity by the Feb. 8, 1991, air strike, leaving about 1,600 kilograms (1.6 metric tons) of viable agent.

High temperatures in the Bunker 2 fire destroyed most of the sarin before it could be expelled from the bunker. The CIA estimates a near-instantaneous release of 10 kilograms (22 pounds) of sarin occurred after which, the CIA believes, high temperatures from the resulting fire decomposed the remaining sarin before it escaped from the bunker.

Our modeling results show the hazard area from the possible chemical warfare agent release reached neither Baghdad, approximately 70 kilometers (43 miles) to the southeast of Al Muthanna, nor the nearest U.S. forces, located 388 kilometers (241 miles) from the nearest edge of the potential hazard area.

Because of the small amount of agent released, the limited extent of the potential hazard area, and the distance to U..S forces, we assess U.S. servicemembers definitely were not exposed to a chemical warfare agent hazard resulting from the destruction of Bunker 2 at Al Muthanna on Feb. 8, 1991.

V. Lessons Learned

The possible use of chemical weapons or the release of chemical warfare agents in future conflicts requires a more careful and complete documentation of events.

A. Weather

It is important to collect and archive basic target weather data, such as temperature, wind directions and velocities, humidity and precipitation, during air strikes on targets of a known or suspected hazardous materials’ site in case toxic industrial chemicals or chemical warfare agents release into the environment. Attempting to reconstruct local weather years after the event, if such data are not archived, limits the accuracy and precision of analysis necessary to determine possible hazard areas and personnel exposures.

B. Operations Records

Combat forces need to preserve and archive their data for future use. Although standard procedures already govern collecting this data, we found the data often was lost during the press of actual operations. There needs to be a formal process to capture the locations and activities of combat maneuver and combat support battalions and their subordinate elements at least daily. All ground forces need to capture and preserve this data, but they did not always do so.

Artillery firing data would significantly assist mapping the locations and movement of the forward line of own troops over time. After action reports of brigades, divisions, and corps should capture this data.

Similarly, limited remaining battle damage assessment complicated our efforts to assess the possible threat to U.S. forces posed by the air war against Al Muthanna. Aircraft video tape data, an important analytical resource in determining the exact time, date, and target of possible contaminant releases due to air attacks, did not always survive the war. Unfortunately, some units reused videotapes by recording over previous missions, limiting our ability to study the complete air war record. Preserving and archiving such tapes should be a high priority in future deployments.

This is a final report; however, if you believe you have information that may change this Case Narrative, please call 800-497-6261.

Tab A - Acronyms, Abbreviations, & Glossary

BDA battle damage assessment

CIA Central Intelligence Agency

COAMPS Coupled Ocean-Atmosphere Mesoscale Prediction System

CW chemical warfare

DOD Department of Defense

ECMWF European Centre for Medium-Range Weather Forecasts

FNE first noticeable effects

GB sarin

GBU guided bomb unit

GPL general population limit

HPAC Hazard Prediction and Assessment Capability

IDA Institute for Defense Analyses

SCIPUFF Second-Order Closure, Integrated Puff

OMEGA Operational Multiscale Environmental Model with Grid Adaptivity

TLAM Tomahawk Land Attack Missile

USAF United States Air Force

UNSCOM United Nations Special Commission

VLSTRACK Vapor Liquid Solid Tracking Model

WEAPDA Weapons Effects and Performance Data Archival

Blister agent

blister agent is a chemical warfare agent that produces local irritation and damage to the skin and mucous membranes, pain and injury to the eyes, reddening and blistering of the skin, and when inhaled, damage to the respiratory tract. Blister agents include mustards (HD, HN, HQ, HT, and Q), arsenicals like lewisite (L), and mustard and lewisite mixtures (HL). Blister agents are also called vesicants or vesicant agents.[65, 66]

Battle Damage Assessment

The determination of the effect of all air attacks on targets (e.g., bombs, rockets, or strafing).[67]

Bomb laser unit

A laser guidance unit fitted to a conventional free-fall bomb that guides the bomb to its target.

Central Intelligence Agency

The US government agency charged with conducting and managing intelligence activities.

Chemical warfare agent

A chemical substance used in military operations to kill, seriously injure, or incapacitate through its physiological effects. Riot control agents and herbicides are not considered to be chemical warfare agents.[68]

Chemical ammunition

A type of ammunition, whose filler is primarily a chemical agent.[69]

Coalition

An ad hoc arrangement between two or more nations for common action.[70] In this narrative, the term refers to the group of nations that provided troops to the allied effort to expel Iraq from Kuwait.

Cruciform bunker

Iraq’s large, cross-shaped standard design ammunition storage bunker constructed of reinforced concrete and covered by sand.

Cruise Missile

A guided missile, the major portion of whose flight path to its target is conducted at approximately constant velocity; that depends on the dynamic reaction of air for lift and upon propulsion forces to balance drag.[71]

Defense Special Weapons Agency

Formerly the Defense Nuclear Agency; recently incorporated into the Defense Threat Reduction Agency

European Centre for Medium-Range Weather Forecasts

An international organization headquartered in the United Kingdom that maintains a global weather database.[72]

First noticeable effect

The dosage at which exposed personnel could reasonably be expected to demonstrate effects from a chemical agent.[73]

Forward line of own troops 

A line, which indicates the most forward positions of friendly forces at a specific time.[74]

GBU-10

A guided bomb unit with a 2000-pound warhead.

GBU-27

A guided bomb unit with a 2000-pound warhead designed to penetrate hard targets

General population limit

The safe exposure limit for toxic chemicals for the general population, including infants and the infirm. The general population limit is a level where a lifetime exposure would cause no perceptible symptoms in the general population.[75]

Global Data Assimilation System

A large-scale weather model run by The National Oceanographic and Atmospheric Administration in Washington, DC.

GulfLINK

A World Wide Web site maintained for the Special Assistant to the Under Secretary of Defense (Personnel & Readiness) for Gulf War Illnesses, Medical Readiness, and Military Deployments (www.gulflink.health.mil).

Hazard Prediction and Assessment Capability, and Second-Order Closure, Integrated Puff

A transport and dispersion model run by the Defense Threat Reduction Agency.

Intelligence community

The Central Intelligence Agency, the Defense Intelligence Agency, State Department Bureau of Intelligence and Research, National Security Agency, National Imagery and Mapping Agency, the military services’ intelligence staffs and centers, and other organizations in the Departments of Defense, Treasury, Justice, and Energy. Intelligence related to military efforts includes information at the strategic, operational, and tactical levels.

Lewisite

An arsenic-based blistering agent similar to mustard with moderately delayed action but somewhat shorter persistency than mustard.[76]

Mk-84

A free-fall non-guided 2,000-pound bomb dropped on a target from fixed-wing combat aircraft.[77]

Mesoscale Meteorological Models 

Models that project regional and local weather conditions required by transport models. Essentially, mesoscale models simulate how atmospheric systems on a horizontal scale of a few to several hundred kilometers influence wind patterns at various altitudes.[78]

Mustard

A highly persistent blister agent spread as a vapor or liquid that causes casualties primarily by contact with eyes, lungs, or exposed skin.[79]

Muthanna State Establishment

Nucleus of Iraq’s chemical warfare agent program: at the State Establishment for Pesticide Production, located at Al Muthanna, near Samarra on the Tigris River, north of Baghdad.

National Oceanic Atmospheric Administration

The US government agency responsible for weather and atmospheric research and analysis.

Naval Operational Global Atmospheric Prediction System

A global large-scale weather model run by the Naval Research Laboratory, Monterrey, CA.

Nerve agents

The most toxic of the chemical warfare agents. The body absorbs nerve agents through breathing, injection, or absorption through the skin. They affect the nervous and the respiratory systems and various bodily functions. They include the G-series and V-series chemical warfare agents.[80]

Occupational limit

The safe exposure limit determined for toxic chemicals for workers without respiratory protection during an average 8-hour workday over a working lifetime of 40 years.[81]

Operational Multiscale Environmental Model with Grid Adaptivity 

A mesoscale model developed for the Defense Threat Reduction Agency.

Operation Desert Shield

 The Persian Gulf military operation during which the Coalition formed and deployed troops deployed on the ground preceding the onset of hostilities.

Operation Desert Storm 

The period of armed conflict in the Gulf War.

Persistency

An expression of the duration of the effectiveness of an agent. This depends on the physical and chemical properties of the agent, weather, methods of dissemination, and conditions of the terrain.[82]

Precision guided munitions

Weapons that use a seeker to detect electromagnetic energy reflected from a target or reference point, and through processing, provide guidance commands to a control system that guides the weapon to the target.[83]

Precursor

An intermediate chemical compound used to produce chemical warfare agents.

Sarin

A nerve agent known as GB Chemical name: Isopropyl methylphosphonofluoridate[84]

Second-Order Closure Integrated Puff

A transport and dispersion model run by the Defense Threat Reduction Agency.

Shelf Life

The period during which an item or material may be stored and remain suitable for use.[85]

Source characterization

Description of the source of a chemical or biological release into the environment supporting further analysis to determine the potential threat to a population. They may include such data as identification of the chemical warfare agent by type, purity, and quantity, results of analysis to define the amount of agent released, its physical characteristics, and whether it is an instantaneous or timed release.

Synoptic Weather Modeling and Observations 

The science of describing large-scale meteorological systems (500-10,000 km,) and how they influence local weather patterns.[86]

Tomahawk Land Attack Missile

A long range, subsonic cruise missile used for land attack warfare, launched from surface ships and submarines.[87]

Transport and Dispersion Models 

Models that project how natural forces of wind and weather disperse a chemical for biological agent after it is released into the environment.

United Nations Resolution 687

The United Nations Resolution defining the steps Iraq needed to take to end the sanctions imposed at the end of the Gulf War.

United Nations Special Commission

The United Nations organization formed to perform compliance inspections in Iraq.

Weapons Effects and Performance Data Archival

An automated file system storing data on weapons effects and performance maintained at the Defense Threat Reduction Agency.

Tab B - Units Involved

No U.S. ground force units were involved in the release of chemical warfare agent from Al Muthanna Bunker 2.

Tab C - Bibliography

37th Tactical Fighter Wing, Message, Subject: "Combat Mission Reports (U), Mission Number: 3323B, Call Sign: Thunder 23," 080337Z Feb 91.

37th Tactical Fighter Wing, Provisional intelligence message, Subject: "37 TFW Combat Mission Report - 3323B (U)," 080337Z Feb 91.

Anthes, Richard, Steve Hanna, Bruce Hicks, and Will Pendergrass, Report, Subject: "Comments by Peer Review Panel on Khamisiyah Modeling Report and Presentations on Nov. 4-5, 1997," Dec. 11, 1997.

Battle Damage Assessment 81 91, March 22, 1991.

"The Biological and Chemical Warfare Threat," Washington, DC: US Government Printing Office, 1999

Brake, Barbara, RN, Memo for Record, Aug. 20, 1998.

Bruening, Kevin and Bill Moore, Proceedings of TECOM Test Technology Symposium ’97,"The Army After Next - How Will We Test?" March 18-20, 1997.

Burck, Gordon M. and Charles C Flowerree, International Handbook on Chemical Weapons Proliferation, New York: Greenwood Press, 1991.

Center for Disease Control, "Final Recommendations for Protecting the Health and Safety Against Potential Adverse Effects of Long-Term Exposure to Low Doses of

Agents: GA, GB, VX, Mustard Agent (H, HD, Y), and Lewisite (L)," March 15, 1998.

Center for Naval Analysis, E-mail message, Subject: "Manned Aircraft Attacks on Al Muthanna," June 2, 1998

Center for Ocean-Atmospheric Prediction Studies, web site www.coaps.fsu.edu/WOCE/SAC/models/fnoc.html (as of Nov. 7, 2001).

Central Intelligence Agency, Briefing Before The Presidential Advisory Committee on Gulf War Illnesses, July 9, 1996.

Central Intelligence Agency, "CIA Report on Intelligence Related to Gulf War Illnesses," Aug. 2, 1996.

Central Intelligence Agency, Information Report, Subject: "CBW Warfare Threat," Undated.

Central Intelligence Agency, Information Report, Subject: "Iraq and the Gulf War, 1990-1991," Undated.

Central Intelligence Agency, Information Report, Subject: "Iraq as a Military Adversary," November 1990.

Central Intelligence Agency, Information Report, Subject: "Iraqi CW," January 1991.

Central Intelligence Agency, Information Report, Subject: "Iraq’s CW Capabilities & Intentions to Use Chemical Weapons," Undated.

Central Intelligence Agency, Information Report, Subject: "Persian Gulf Crisis," October 1990.

Central Intelligence Agency, Information Report, Subject: "Rockets With Possible Chemical Weapons Applications," January 1990.

Central Intelligence Agency, Information Report, Subject: "Rockets With Possible Chemical Weapons Applications," September 1990.

Central Intelligence Agency, Information Report, Subject: "Report on Al Muthanna," Undated.

Central Intelligence Agency, Information Report, Subject: "Stability of Iraq’s Chemical Weapons Stockpile," Undated.

Central Intelligence Agency, Information Report, Subject: "Summary of Iraqi Chemical Warfare Activity," September 1990.

Central Intelligence Agency, Message, Subject: "Draft Unclassified Muthanna Bunker 2 Source," Sept. 23, 1998.

Central Intelligence Agency, Message, Subject: "Iraqi Declaration," [redacted] undated.

Central Intelligence Agency, Message, Subject: "Persian Gulf Crisis Update," August 1990.

Central Intelligence Agency, Message, Subject: "Persian Gulf Crisis Update," January 1991.

Central Intelligence Agency, Message, Subject: "Summary of Iraqi Chemical Warfare Activity," [redacted], September 1990.

Central Intelligence Agency, Office of Weapons, Technology and Proliferation, "CIA Report on Intelligence Related to Gulf War Illnesses," McLean, VA: US Central Intelligence Agency, August 1996.

Climate Diagnostics Center, web site www.cdc.noaa.gov/~crdc/krs_papers/papers/iips95_talk/intro2.htr (as of Nov. 7, 2001).

Cohen, Dr. Elliot A., Gulf War Air Power Survey (U), 7 vols. (SECRET), Washington, DC, USAF.

"Convention on the Prohibition of the Development, Production, Stockpiling, and Use of Chemical Weapons and on Their Destruction," April 29, 1997.

Copeland, Sylvia, Testimony before the House Committee on Human Resources and Intergovernmental Relations, "Key Points Related to the Gulf War Illness," Sept. 19, 1996.

Cordesman, Anthony H. and Abraham R. Wagner, The Lessons of Modern War, Volume II, "The Iran-Iraq War," Boulder, Colorado: Westview Press, 1990.

Cordesman, Anthony H. and Abraham R. Wagner, The Lessons of Modern War, Volume V, "The Gulf War," Boulder, Colorado: Westview Press, 1996.

Crammer, H. E. and R.K. Dumbauld, Hazard Distance Estimates for Operation Red Hat, Prepared for the US Army Desert Test Center, Fort. Douglas Utah, Salt Lake City, Utah: GCA Corporation, June 14, 1971.

Daily Battle Damage Assessment, Status Update No. 91 20, 070200Z Feb 91.

Daily Battle Damage Assessment, Status Update No. 91 29, 160200Z Feb 91.

Daily Battle Damage Assessment, Status Update No. 91 30, 170205Z Feb 91.

Daily Battle Damage Assessment, Status Update No. 91 31, 180205Z Feb 91.

Daily Battle Damage Assessment, Status Update No. 91 32, 190205Z Feb 91.

Defense Intelligence Agency, Defense Intelligence Memorandum 37-91 Subject: "Iraq: Potential for Chemical Weapon Use," January 1991.

Defense Intelligence Agency, Intelligence Information Report 1 778 0146 91, "Overview of Iraqi Weapons Industry Establishments," 1991.

Defense Intelligence Agency, Intelligence Information Report 6 021 0196 96, "Iraqi Fallujah, Khamisiyah, and An Nasiriyah Chemical Warfare Related Sites," May 22, 1996.

Defense Intelligence Agency, Memorandum, Subject: "Heads up on AFTAC Data," Sept. 14, 1998.

Defense Intelligence Agency, Message, Subject: "BDA 81-91," [redacted], March 22, 1991.

Defense Intelligence Agency, Message, Subject: "Chemical Contamination Sites in Southern Iraq," 212038Z Sep 90.

Defense Intelligence Agency, Message, Subject: "Destroyed CW Bunkers at Tikrit, and CW at Samarra; No Contamination Reported Due to Bombing," 150205Z Feb 91.

Defense Intelligence Agency, Message, Subject: "Habbaniyah Poss CW Prod Facility II," 071307Z Sep 90.

Defense Intelligence Agency, Message, Subject: "IIR 2 201 0022 92/Inspection of Chemical Warfare Facilities (U)," [redacted], 021441Z Oct 91.

Defense Intelligence Agency, Message, Subject: "Iraqi Chemical Warfare (CW) Facilities and Storage Areas," 281930Z Dec 90

Defense Intelligence Agency, Message, Subject: "Iraq-Kuwait Situation Update," 150553Z Jan 91.

Defense Intelligence Agency, Message, Subject: "NADA INTSUM 262-91/DIA Wash DC/2 March 91," 020840Z Mar 91.

Defense Intelligence Agency, Message, Subject: "North Atlantic Treaty Organization Data Intelligence Summary 55-91, Iraq-Kuwait: Situation Update," 150600Z Jan 91.

Defense Intelligence Agency, Message, Subject: "North Atlantic Treaty Organization Data Intelligence Summary 262-91, Iraq-Kuwait: Situation Update," 020659Z Mar 91.

Defense Intelligence Agency, Message, Subject: "Report on CW Facilities at Samarra and Habbaniyah," 140205Z Mar 91.

Defense Intelligence Agency, Message, Subject: "Report on Samarra," 121543Z Oct 90.

Defense Intelligence Agency, Message, Subject: "Report on Susp BW Fac Latafiya, CW Fac Habbaniyah, and Samarra," 110200Z Feb 91.

Defense Intelligence Agency, Message, Subject: "Samarra Report," 121543Z Oct 90.

Defense Intelligence Agency, Message, Subject: "Samarra CW Rsch Prod A Stor Fac," 251431Z Sep 90.

Defense Intelligence Agency, Message, Subject: "Samarra CW Rsch Prod A Stor Fac," 262155Z Sep 90.

Defense Intelligence Agency, Message, Subject: "Samarra CW Rsch Prod A Stor Fac," 091656Z Oct 90.

Defense Intelligence Agency, Message, Subject: "Samarra CW Rsch Prod A Stor Fac," 110611Z Feb 91.

Defense Intelligence Agency, Message, Subject: "Samarra CW Stor Fac," 071506Z Sep 90.

Defense Intelligence Agency, Video, Subject: "KX 7284, Day 23 (F-117), Samarra (U)," (SECRET).

Defense Threat Reduction Agency, "Hazard Prediction & Assessment Capability (HPAC)," web site www.dtra.mil/td/hpac/td_hpac.html (as of Oct. 23, 2001).

Defense Threat Reduction Agency, Promotional brochure, "HPAC, Hazard Prediction and Assessment Capability," undated.

Department of Defense, Final Report to Congress, "Conduct of the Persian Gulf War," Washington, DC, US Government Printing Office, April 1992

Department of Defense, Intelligence Information Report 1 517 0162 91, Subject: "Observations on Iraqi Warfighting Capabilities - Desert Storm (U)," Jan. 17, 1991.

Department of Defense, Intelligence Information Report 1 778 0146 91, Subject: "An Overview of Iraqi Weapons Industry Establishments."

Deptula, Col. David A., Firing for Effect: Change in the Nature of Air Power, Arlington, VA, Aerospace Educational Foundation, Defense and Airpower Series, 1995.

Director of Central Intelligence, Letter with enclosures, Subject: "Re-Assessment of Maximum Release of Agent From Cruciform Bunker 2 at Al Muthanna," Feb. 17, 1999.

Director of Central Intelligence, Letter with pictures for Al Muthanna release, Feb. 17, 1999.

Director of Central Intelligence, Letter to the Special Assistant for Gulf War Illnesses, Attachment, Oct. 14, 1999.

Duelfer, Charles, United Nations Special Commission representative, Testimony before the Presidential Advisory Committee on Gulf War Veterans’ Illnesses, July 29, 1997.

Dugway Proving Ground, Trial Record 380, Hazard Classification Tests for Storage and Handling of GB- and VX- Filled Chemical Ammunition, M55 and M23, US Army Test and Evaluation Command Project Number 5-3-0135-01, Dugway Proving Ground Utah, May 1964.

Endura Plastics Inc., Thermoplastic Material Selection Guide, web site www.endura.com/material.htm (as of Nov. 7, 2001).

European Centre for Medium-Range Weather Forecasts, web site www.ecmwf.int/ (as of Nov. 7, 2001).

Exchange/Monitor Publications, Inc., "GAO Faults Pentagon for Lack of Research Into Low-Level Exposure," Chem-Bio Weapons & Defense Monitor, Nov. 3, 1998.

Executive Order 12961, Presidential Advisory Committee on Gulf War Veterans’ Illnesses, The White House, May 26, 1995.

Executive Order, Extension of Presidential Advisory Committee on Gulf War Veterans’ Illnesses, The White House, Jan. 30, 1997.

Explosive Ordnance Disposal Report, AFTO Form 358, Subject: "4401 ARG(P) United Nations Chemical Inspection Team (UNSCOM 17, 18) Chemical Ordnance Disposal Report," Nov. 23, 1991.

"Fashioning Glass, Part I," web site chemistry.miningco.com/library/weekly/aa051198.htm, (as of May 11, 1998).

Fleet Numerical Meteorology and Oceanography Center, web site www.fnmoc.navy.mil/PUBLIC/ (as of Oct. 23, 2001).

General Accounting Office, Report to the Ranking Minority Member, Committee on Commerce, House of Representatives, "Operation Desert Storm, Evaluation of the Air Campaign," June 1997.

Gordon, Andrew and Bernard Trainor, The Generals’ War: The Inside Story of the Conflict in the Gulf, New York: Little, Brown and Company, 1995.

Government of Iraq, "Iraqi Declaration" June 1996.

Government of Iraq, "Official Special Manual 469 for the Tactical Use of Weapons of Mass Destruction," General Staff of the Army Training Department, December 1987.

Hamilton, James C. III, Stefan G. Dallriva, and David L. Bourn, Technical Report SL-93-14, Conventional Weapons Effects on a Reinforced Concrete Multibay Structure (U) (CONFIDENTIAL), August 1993.

Handbook for the Investigation of Allegations of the Use of Chemical or Biological Weapons, Department of External Affairs, Department of National Defence, Health and Welfare Canada, and Agriculture Canada, November 1985.

Haselkorn, Avigdor, The Continuing Storm, Iraq, Poisonous Weapons, and Deterrence, New Haven: Yale University Press, 1999.

Institute for Defense Analyses, Letter with attachment, "Report of the Panel Reviewing Analysis of the Khamisiyah Pit Release of Nerve Agent, March 1991," July 9, 1997.

Jacobson, Mark Z., Fundamentals of Atmospheric Modeling, Edinburgh: Cambridge University Press, 1999.

Jane’s for Intelink, Jane’s Air Launched Weapons 1999, "Bombs, United States of America," 1999.

Jane’s Information Group Ltd, Jane’s Armour and Artillery 1996-97, 1997.

Jane’s Information Group Ltd, Jane’s Ammunition Handbook 1996-97, 1997.

Jane’s Information Group Ltd, Jane’s Ammunition Handbook 1997-98, 1998.

Jane’s Information Group Ltd, Jane’s Strategic Weapons Systems, 1997, 1997.

Joint Publication 1-02, "Department of Defense Dictionary of Military and Associated Terms," Washington, DC: The Joint Staff, April 12, 2001, web site www.dtic.mil/doctrine/jel/new_pubs/jp1_02.pdf (as of November 7, 2001).

Joint Staff, Information Report, DSA 441-91, Subject: "Iraq: Compliance With UNSCR 687," June 21, 1991.

Joint Staff, Information Report, Subject: "Iraqi Chemical Warfare (CW) Facilities and Storage Areas," Dec. 28, 1990.

Joint Staff, Intelligence Information Report 2 021 0022 92, Subject: "Inspection of Chemical Warfare," 021441Z Oct 91.

Joint Staff, Intelligence Information Report 2 201 0779 91, Subject: "Soldiers Killed With Biological Warfare," 200313Z Jul 91.

Joint Staff, Intelligence Information Report 2 764 0053 92, "Iraqi Chemical Employment Doctrine (U)," 040448Z Oct 91.

Joint Staff, Intelligence Information Report 6 021 0004 91, Subject; "Condition of CW Storage," July 1991.

Joint Staff, Intelligence Information Report 6 021 0006 91, Subject: "Muthanna State Establishment," July 1991.

Joint Staff, Intelligence Information Report 6 064 3089 91, Subject: "Estimate of Iraq’s Tactical Chemical Weapons," February 1991.

Joint Staff, Intelligence Information Report 6 899 0200 91, "Iraq Chemical Agent Production Practice/Desert Shield (U), 151224Z Nov 90.

Joint Staff, J5 Information Paper, Subject: "Nuclear, Missile, Chemical and Biological Warfare Capabilities of Iraq Before, During, and After Desert Storm," February, 1991.

Joint Staff, Message, Subject: "IIR 6 021 0004 91/Condition of CW Storage Bunkers at the Muthanna State Establishment (U)," [redacted] 021321Z Jul 91.

Joint Staff, Message, Subject: "Military Situation Summary as of 151900Z Oct 90 (U)" October 1990.

Joint Staff, Message, Subject: "Military Situation Summary as of 182100Z Nov 90 (U)" November 1990.

Joint Staff, Message, Subject: "Moscow Radio Reports Disease Outbreak From Bombed BW Facilities," 111048Z Feb 91.

Kadivar, Hooshang, "Treatment of Chemical and Biological Warfare Injuries: Insights Derived From the 1984 Iraqi Attack on Majnoon Island," Military Medicine, Volume 156, April 1991.

Lead sheet 25676, Interview of US Army Artillery School staff officer, January 11, 2000.

McAllister, Bill, "Panel’s Report Challenges Gulf War Syndrome Theory," The Washington Post, Sept. 1, 1998.

Memo for Record, Subject: "Al Muthanna Strike Process," June 2, 1998.

Memorandum, Subject: "Trip Report, Kirtland AFB, New Mexico," June12, 1998.

Merriam-Webster Dictionary, copyright 1998 by Merriam-Webster, Incorporated, web site www.m-w.com/dictionary (as of Nov. 7, 2001).

Methodology and Instrumentation for Sampling and Analysis in the Verification of Chemical Disarmament, The Ministry for Foreign Affairs of Finland, Helsinki, Finland, 1985.

Military Analysis Network, web site www.fas.org/man/dod-101/sys/dumb/mk84.htm (as of Oct. 24, 2001).

Military Analysis Network, web site www.fas.org/man/dod-101/sys/smart/gbu-10.htm (as of Oct. 24, 2001).

Military Analysis Network, web site www.fas.org/man/dod-101/sys/smart/gbu-27.htm (as of Oct. 24, 2001).

Mioduszewski, Robert J., Evaluation of Airborne Exposure Limits for G-Agents: Occupational and General Population Exposure Criteria, U.S. Army Edgewood Research, Development, and Engineering Center, ERDEC-TR-489, April 1998.

Moore, David H., "Long term health effects of low dose exposure to nerve agent," Journal of Physiology, Paris: 1998.

Myirski, Michael M., The Source Characteristics of a Fire Within an Igloo Filled With M55 Chemical Munitions, U.S. Army Chemical Research Development & Engineering Center, CRDEC-TR-87056, May 1987.

National Ground Intelligence Center, Defense Intelligence Reference Document NGIC 1671-633-95, "Iraqi Chemical Warfare Production - An Inside View of UNSCOM’s Impact (U)," (SECRET), September 1995.

Naval Surface Warfare Center, NSWCDD/MP-97/196, "Software User’s Manual for VLSTRACK."

National Center for Atmospheric Research, MM5 Modeling System Overview, web site www.mmm.ucar.edu/mm5/overview.html (as of Nov. 7, 2001).

National Oceanic and Atmospheric Administration, web site www.noaa.gov/ (as of Nov. 7, 2001).

Naval Research Laboratory, "COAMPS," Marine Meteorology Division, Nov. 16, 1999.

Naval Research Laboratory, NRL Library Catalog, website: libcat.nrl.navy.mil/uhtbin/cgisirsi/Ec5Y8Sbop7/5758022/60/30026 [if the screen message says, "Session has timed out. Please click OK to start a new WebCat session," click OK, and then enter Keyword COAMPS, press the Enter key, then choose box # 5 and select "View" for document"Software User’s Manual for the Coupled Ocean/Atmosphere Mesoscale Prediction System (COAMPS)"] (as of Nov. 9, 2001).

Nudell, Carol L., Jimmy White, and Steven Brimhall, Abbreviated Test Plan for the Demolition Characterization Test of the 122 Millimeter Chemical - Fill Rocket, TECOM Project No. 8-CO-510-000-007, DPG Document No. DPG-TP-97-041, Utah: U.S. Army Dugway Proving Ground, May 1997.

Oak Ridge National Laboratory, "HASCAL 2.0 - A System For Estimating Contamination and Doses From Incidents at Worldwide Nuclear, Chemical, and Biological Facilities," website www.cped.ornl.gov/cad_cp/text/hascal.html (as of Nov. 9, 2001).

Office of the Secretary of Defense, News release, Subject: "Pentagon Receives Computer Modeling Progress Report," Dec. 20, 1996.

Office of the Special Assistant for Gulf War Illnesses, Memo for Record, Subject: "Al Muthanna Strike Process," June 2, 1998.

OnlineWeather.com, web site www.onlineweather.com/v4/world/middleeast/climate/Baghdad.html (as of Oct. 23, 2001).

Paolino, D.A., et al. "A Pilot Reanalysis Project at COLA," Center for Ocean-Land Atmosphere Studies, July 1994.

Penski, Edwin C., "Evaporation of Agents From Saudi Arabian Soils II, G-Agents," CRDEC, July 1992.

Pielke, Roger A., Mesoscale Meteorological Modeling, Fort Collins, Colorado: University of Colorado Press, 1984.

Rathmell, Dr. Andrew, "Chemical Weapons in the Middle East - Lessons from Iraq," Jane’s Intelligence Review, Dec. 1, 1995.

Rautio, Marjatta, "Sampling and Analysis Results from UNSCOX Chemical and Biological Inspections," Oct. 23, 1992.

Ricks, Thomas E., "US Military Considers Weapons That Disable Bunkers, Spare People," Wall Street Journal, July 1, 1999.

Science Applications International Corporation, Center for Atmospheric Physics, Operational Multiscale Environment model with Grid Adaptivity (OMEGA), website www.apo.saic.com/omega/doc/overview/overview.html (as of October 23, 2001).

Seaman, Nelson L., Applications of Numerical Meteorological Models for Air Pollution Studies, Pennsylvania State University, Oct. 23, 1997.

Shepko, Michael J., Center for Naval Analysis Briefing, Subject: "Qubaysah Ammunition Storage and SCUD Depot," undated.

Sidell, Frederick R., MD, Ernest T. Takafuji, MD, MPH, and David R. Franz, DVM, PhD, Medical Aspects of Chemical and Biological Warfare, Washington, DC: Borden Institute, Walter Reed Army Medical Center, 1997.

Southern Research Institute, Special Report SoRI-EAS-84-817, "Literature Review of Thermal Decomposition Studies of the Agents GB, VX, and HD," Sept. 28, 1984.

Special Assistant for Gulf War Illnesses, "Czech and French Reports of Possible Chemical Agent Detections" (Case Narrative,) July 29, 1998.

Special Assistant for Gulf War Illnesses, "Methodology of Refined Modeling of the Khamisiyah Pit Demolition," Feb. 23, 2000.

Special Assistant for Gulf War Illnesses, Statement before the Subcommittee on Human Resources, House Committee on Government Reform and Oversight, June 26, 1997.

Special Assistant for Gulf War Illnesses, "The Use of Modeling and Simulation in the Planning of Attacks on Iraqi Chemical and Biological Warfare Targets" (Information Paper), Feb. 24, 2000.

Task Force V Lessons Learned: The Iran-Iraq War, Appendix B Chemicals, Sept. 4, 1990.

Tuite, James, "Report on the Fallout From the Destruction of Iraqi Chemical Warfare Agent Research, Production, and Storage Facilities into Areas Occupied by U. S. Military Personnel During the 1991 Persian Gulf War," Gulf War Research Foundation, Sept. 19, 1996.

Tuite, James J. III, "Second Staff Report on US Chemical and Biological Warfare-Related Dual-Use Exports to Iraq and the Possible Impact on the Health Consequences of the War," The Senate Committee on Banking, Housing, and Urban Affairs, May 25, 1994, Last updated on April 25, 1997.

Taylor, Wilbert T. and Frank J. Massaro, Hazard Classification of Igloo Storage of GB- and VX- Filled M55 Rockets, U.S. Army Test and Evaluation Command Project Number 5-3-0135-02, Dugway Proving Ground Utah, April 1966.

United Nations, "UN Press Release on Muthanna Inspection," June 24, 1991.

United Nations, The United Nations Blue Book Series, Volume IX, "The United Nations and the Iraq-Kuwait Conflict, 1990-1996," Document 189, "Seventh Report of the Executive Chairman of UNSCOM," New York, NY: United Nations, Department of Public Information, 1996.

United States General Accounting Office, Report to the Ranking Minority Member, Committee on Commerce, House of Representatives, "Operation Desert Storm, Evaluation of the Air Campaign," June 1997.

U.S. Air Force, "Post Mission Strike Reports," December 1990 through February 1991.

U.S. Air Force, USAFETAC/TN-92/003, Walters, Kenneth R. Sr., "Gulf War Weather," Scott AFB, IL, March 1992.

U.S. Air Force, web site www.af.mil/news/factsheets/F_117A_Nighthawk.html (as of Oct. 24, 2001).

U.S. Army Center for Health Promotion and Preventive Medicine, Memorandum from the Program Manager, Environmental Health Risk Assessment and Risk Communication, Subject: "Recommendations of Vapor and Inhalation Toxicity Estimates to be Used in Khamisiyah Modeling," Aug. 5, 1999.

U.S. Army Center for Health Promotion and Preventive Medicine, web site chppm-www.apgea.army.mil/ (as of Nov. 7, 2001).

U.S. Army, Dugway Proving Ground, "Fact Sheet on Exposure Limits for Sarin (GB)," July 1997.

U.S. Army Edgewood Research, Development and Engineering Center, "Material Safety Data Sheet, GB," September 14, 1988, Revised Feb. 28, 1996.

U.S. Army Field Manual 3-4, US Marine Corps Fleet Marine Force Manual 11-9, "NBC Protection," May 1992.

U.S. Army Field Manual 3-9, US Navy Publication P-467, US Air Force Manual 355-7, "Potential Military Chemical/Biological Agents and Compounds," Dec. 12, 1990.

U.S. Army Field Manual 8-285, US Navy Medical Publication P-5041, US Air Force Manual 44-149, US Marine Corps Fleet Marine Force Manual 11-11 (adopted as NATO Field Manual 8-285), "Treatment Of Chemical Agent Casualties and Conventional Military Chemical Injuries," Dec. 22, 1995.

U.S. Army Field Manual 19-20, "Law Enforcement Investigations," Nov. 25, 1985.

U.S. Army, Material Safety Data Sheet, "HQ Mustard," Aberdeen Proving Ground, MD, June 30, 1995, web site in1.apgea.army.mil/RDA/msds/index.htm (as of Nov. 7, 2001).

U.S. Army, Pamphlet 40-8, "Occupational Health Guidelines for the Evaluation and Control of Occupational Exposure to Nerve Agents GA, GB, GD, and VX," Washington DC: Headquarters, Department of the Army, December 4, 1990.

U.S. Army, Pamphlet 385-61, "Toxic Chemical Agent Safety Standards," Washington DC: Headquarters, Department of the Army, March 31, 1997.

U.S. Government White Paper, "Iraq Weapons of Mass Destruction Programs," February 13, 1998.

U.S. Navy, Fleet Numerical Meteorology and Oceanography Center, web site www.fnmoc.navy.mil/PUBLIC/MODEL_REPORTS/MODEL_SPEC/coamps2.0.html (as of Nov. 7, 2001).

U.S. Navy, Fleet Numerical Meteorology and Oceanography Center, web site www.fnmoc.navy.mil/PUBLIC/MODEL_REPORTS/MODEL_SPEC/nogaps4.0.html (as of Nov. 7, 2001).

U.S. Navy, Modeling and Simulation Management Office, web site navmsmo.hq.navy.mil/nmsiscat (as of Nov. 7, 2001).

U.S. Navy, Navy Fact File A-6E Intruder, web site www.chinfo.navy.mil/navpalib/factfile/aircraft/air-a6.html (as of Nov. 8, 2001).

U.S. Navy, Navy Fact File, Tomahawk Cruise Missile, web site www.chinfo.navy.mil/navpalib/factfile/missiles/web-toma.html (as of Nov. 15, 2001).

Verification Methods, Handling, and Assessment of Unusual Events in Relation to Allegations of the Use of Novel Chemical Warfare Agents, Consultant University of Saskatchewan in conjunction with the Verification Research Unit of External Affairs and International Trade Canada, March 1990.

Walpole, Robert D, Director of Central Intelligence, Letter to the Special Assistant for Gulf War Illnesses, Attachment, "Assessment of Releases of Chemical Agents From Iraq," Oct. 14, 1999.

Weapons Effects and Performance Data Archival database, Compact disc 232, file 5409; disc 234, files 5451, 5453, and 5454; and disc 248.

Woods, Austin, European Centre for Medium Range Weather Forecasts, "ECMWF-background, objectives, contact information," Feb. 26, 1998.

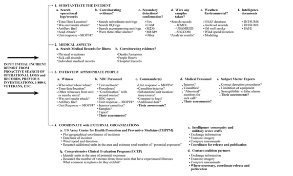
Tab D - Methodology for Chemical Incident Investigation

The DOD requires a common framework for our investigations and assessments of chemical warfare agent reports, so we turned to the United Nations and the international community, which had chemical weapons experience (e.g., the United Nations’ investigation of the chemical weapons used during the 1980-88 Iran-Iraq war). Because the modern battlefield is complex, the international community developed investigative and validation procedures[88] to provide objective information about possible chemical weapons incidents. Based on these international procedures and guidelines, our methodology includes these factors:

  • A detailed written record of the conditions at the site;
  • Physical evidence from the site, e.g., weapons fragments and soil, water, vegetation, human, or animal tissue samples;
  • A record of the chain of custody during transportation of the evidence;
  • Testimony of witnesses;
  • Several analyses; and
  • A review of the evidence by an expert panel.

While we base our investigative methodology (Figure x) on these procedures, the passage of time since the Gulf War makes it difficult to obtain certain types of documentary evidence, and physical evidence often was not collected when an event occurred. Therefore, we cannot apply a rigid template to all incidents and must tailor each investigation to its unique circumstances. Accordingly, we designed our methodology to provide a thorough investigative process to define each incident’s circumstances and determine what happened. Our methodology’s major efforts are:

  • To substantiate the incident;
  • To document available medical reports about the incident;
  • To interview appropriate people;
  • To obtain information available to external organizations; and
  • To assess the results.

A case usually starts with a report of a possible chemical warfare agent incident, often from a veteran. To substantiate the circumstances surrounding an incident, the investigator searches operational, intelligence, and environmental logs for documentation. This focuses the investigation on a specific time, date, and location, clarifies the conditions under which the incident occurred, and determines whether there is "hard," as well as anecdotal, evidence.

Alarms alone are not certain evidence of chemical warfare agent presence nor is a single observation sufficient to validate a chemical warfare agent’s presence. The investigator looks for physical evidence collected at the time of the incident possibly indicating whether chemical agents were present in its vicinity. Such evidence might include tissue samples, body fluid samples, clothing, environmental samples of soil or vegetation, weapons parts, and Fox MM-1 tapes with properly documented spectrums.

Figure 14. Chemical warfare incident investigation methodology

The investigator searches available medical records to determine if the incident injured anyone and notes deaths, injuries, sicknesses, etc., near an incident’s time and location. We ask medical experts to provide information about any possible chemical warfare agent casualties.

We interview those involved in or near the incident (participants or witnesses). First-hand witnesses provide valuable insight into the conditions surrounding the incident and the mind-sets of those involved, and are particularly important if physical evidence is lacking. We interview nuclear, biological, and chemical officers or specialists trained in chemical testing, confirmation, and reporting to identify the unit’s response, tests conducted, injuries sustained, and reports submitted. We contact commanders to ascertain what they knew, what decisions they made about the events surrounding the incident, and their assessment of it. If appropriate, subject matter experts provide opinions on the capabilities, limitations, and operation of technical equipment and evaluate selected topics of interest.

Additionally, the investigator contacts agencies and organizations that may be able to further clarify details of the case, including, but not be limited to:

  • Intelligence agencies that might be able to provide insight into events leading to the event, imagery of the area of the incident, and assessments of factors affecting the case;
  • The clinical registries of the Departments of Defense and Veterans Affairs which may provide data about the medical condition of those involved in the incident; and
  • Agencies capable of computer modeling meteorological and source characterization data in cases in which we suspect airborne dispersion of agent.

Once the investigation is complete, the investigator evaluates the available evidence to assess it objectively. The available evidence is often incomplete or contradictory, so we must look at it in the total context of what we know about the incident. Physical evidence collected when the incident occurred, for example, can be tremendously valuable to an investigation. We generally would give properly documented physical evidence the greatest weight in any assessment. The testimony of witnesses and contemporaneous operational documentation also is significant when making an assessment. Testimony from witnesses who also happen to be subject matter experts is usually more meaningful than testimony from untrained observers. Typically, we give secondhand accounts less weight than witnesses’ testimony. If witnesses’ accounts conflict, investigators look for other information supporting the witnesses’ statements. Investigators evaluate the supporting information to determine how it corroborates any conflicting position. Generally, such supporting information will fit into a pattern corroborating one of the conflicting accounts of the incident over the others. Where the bulk of corroborating evidence supports one witness more than another, that person's information would be considered more compelling.

In each investigation our assessment relies on the investigator’s evaluation of the available information. Because we do not expect to always have conclusive evidence, we have developed an assessment scale (Figure 15) ranging from Definitely Not to Definitely, with intermediate assessments of Unlikely, Indeterminate, and Likely. The investigator uses this scale to make an assessment, which is our best judgment, based on facts available on the report publication date; we reassess each case over time based on new information and feedback.

Figure 1. Assessment of chemical warfare agent presenceFigure 15. Assessment of chemical warfare agent presence

The standard for making the assessment is common sense: do the available facts lead a reasonable person to conclude that chemical warfare agents were present or not? If insufficient information is available, the assessment is Indeterminate until more evidence emerges.

Tab E - Methodology for Modeling a Possible Chemical Warfare Agent Release

In 1996, the Central Intelligence Agency reported on computer modeling that it had used to simulate possible releases of chemical warfare agents from several sites. However, because the CIA used only a single model approach, its results reflected the strengths and weaknesses of only that model. On Nov. 2, 1996, to improve computer modeling over the earlier CIA results, the DOD asked the Institute for Defense Analyses to convene an independent panel of experts in meteorology, physics, chemistry, and related disciplines.[89] The panel reviewed previous modeling analyses, and recommended using several atmospheric models and data sources for future modeling[90] to generate a better result than a single model produces. Consequently, the Special Assistant agreed to new modeling to estimate the areas of possible exposure to chemical warfare agents that may have been released during Gulf War air operations and post-war demolitions.

The staff of the Special Assistant uses computer simulations because on-site measurements of chemical warfare agent exposure were unavailable and the local weather conditions were not always measured or recorded. To implement the recommendations of the IDA panel, the DOD and the CIA asked other agencies with extensive modeling experience to participate in the modeling process. The modeling team consists of scientists from the Defense Threat Reduction Agency (formerly the Defense Special Weapons Agency), the Naval Research Laboratory, the Naval Surface Warfare Center, the National Center for Atmospheric Research, and Science Applications International Corporation (supporting the CIA and the Defense Threat Reduction Agency). This team uses existing high-quality computer models, as recommended by the IDA panel, to develop potential exposure areas, specific to each incident under investigation. The team combines these models (called an ensemble) to compensate for the bias inherent in each model to produce a better result by maximizing the strengths of each and minimizing its weaknesses.

To assess the possible dispersion of chemical warfare agents, we adopted the IDA panel’s recommendation to use an ensemble of weather and dispersion models, combined with global data sources. The methodology for modeling a chemical warfare agent release uses:

  • A source characterization to describe the type and amount of agent released, and how rapidly it discharged;
  • Data from global weather models to simulate global weather patterns;
  • Regional weather models to simulate the weather near the suspected agent release;
  • Transport and dispersion models (often simply called dispersion models) to project the agent’s possible spread as a result of the simulated regional weather; and
  • A database of Gulf War unit locations to plot probable military unit locations in relation to the hazard area and estimate possible exposures.

Figure 16 depicts this methodology.

Figure 16.  Process for modeling possible chemical warfare agent releasesFigure 16. Process for modeling possible chemical warfare agent releases

The methodology uses two types of models—weather models and dispersion models. Weather models allow us to simulate the weather conditions in specific areas of interest by approximating both global and regional weather patterns. Given the weather generated by a global model, a regional weather model predicts local weather conditions near a possible chemical warfare agent release. Actual, although quite limited, weather measurements from the Persian Gulf and surrounding regions supplement the global and regional weather modeling.

Dispersion models allow us to simulate how chemical warfare agents may move and diffuse in the atmosphere given the predicted local weather conditions. These models combine the source characteristics of the agent (including the amount and type of agent, the release location, and the release rate) with the local weather from the regional models to predict how the agent might disperse. Running one dispersion model using the weather conditions predicted by one regional model results in one projected downwind hazard area. Running each dispersion model using the weather from each of the different regional weather models results in a set of unique hazard areas. We overlay all these hazard areas to create a union or composite of the various projections. The resulting composite graphic provides the most credible array of potential agent vapor hazard areas for determining where military units might have been exposed.[91] This is the basic process for all of our modeling efforts.

Global weather models forecast atmospheric conditions over the globe. To perform calculations, the models mainly rely on observations collected from a global network of land-based weather stations, sea-based ships or buoys, and remote sensing satellites. Agencies such as the World Meteorological Organization distribute these data for civilian agencies. Because of their vast domain (i.e., the whole globe), global models provide only general weather information.

We use three sources for global weather data:

  • The Global Data Assimilation System[92] developed by the National Oceanic and Atmospheric Administration’s National Meteorological Center, Camp Springs, Maryland;
  • The Naval Operational Global Atmospheric Prediction System[93] developed by the Naval Research Laboratory, Monterey, California; and
  • A database developed by the European Centre for Medium-Range Weather Forecasts[94] in Reading, United Kingdom.

These sources collect and process weather observations differently, and maintain historical archives that provide historical and simulated global weather data for our analyses.

Regional weather models, sometimes called mesoscale meteorological models, estimate local weather conditions in the detail dispersion models require. To predict detailed local atmospheric conditions, regional models take the outputs from global models to yield weather estimates with a resolution within a few miles.

We use three regional models:

  • The Coupled Ocean-Atmosphere Mesoscale Prediction System developed and run by the Naval Research Laboratory;[95]
  • The Operational Multi-scale Environmental Model with Grid Adaptivity developed for the Defense Threat Reduction Agency[96] and run by Science Applications International Corporation; and
  • The Mesoscale Model, Version 5 (MM5)[97] developed by Pennsylvania State University and the National Center for Atmospheric Research, an agency of National Oceanic and Atmospheric Administration.

These models simulate atmospheric conditions for advanced, high-resolution weather forecasting. They can simulate local weather conditions to a few square miles. Although these models operate differently, they all produce the detailed meteorological data needed to run the dispersion models. Because of differences in input data, modeling processes, and the physical process assumptions, each regional model produces different results. However, careful analysis of each simulation has shown that the regional models’ outputs generally are consistent.

We send the hazard projection graphics derived from the dispersion models to the U.S. Army Center for Health Promotion and Preventive Medicine,[102] which overlays the hazard projection graphics with data on U.S. unit locations to create an exposure plot showing the areas and levels of possible exposure. Two Department of Defense organizations, the U.S. Armed Services Center for Unit Records Research and the Defense Manpower Data Center provide the databases used to determine unit locations during the Gulf War and who was in each unit in the possible exposure hazard areas. We cross-reference, validate, refine, and update the unit location data to increase the accuracy of whether a unit was in an exposure area at a specific time.

Weather models represent our best attempts to approximate actual atmospheric conditions. They do not replicate reality with absolute certainty, but modern modeling techniques enable us to generate reasonably close approximations. We simulate regional weather conditions in the Gulf using weather modeling. Dispersion models then work with the simulated weather to project the overall agent distribution in the area. The composite hazard projection area represents an average picture. Since the atmosphere is inherently turbulent, the actual concentration of agent within the hazard area might vary throughout the projected area. Therefore, modeling predicts that the concentration of chemical warfare agent is at the exposure threshold throughout the hazard area, even though the agent may not necessarily be everywhere in the area. We can only conclude that people within the hazard projection area may have been exposed to the calculated concentration of agent multiplied by the time of exposure across the entire hazard area.

The CIA estimated the quantity, type, and storage configuration of chemical warfare agents stored at the sites under investigation. The source characterizations tend to overstate the size of the release to minimize risk of failing to identify all the agent that might have been released. Presenting a composite of the different modeling results is another way to minimize the risk of missing veterans who may have been in a hazard area. If we are to err, we would prefer to identify a veteran who may not have been exposed, rather than fail to recognize a veteran who had been exposed.

Tab G - Changes in this Report

This narrative was initially published on March 27, 2001. Since that time, we have not received any new information on the material presented here, nor have any additional leads developed to change the narrative’s assessments. We made only minor typographical changes to this report.

End Notes

  1. Tab A lists acronyms, abbreviations, and a glossary.
  2. Central Intelligence Agency, "CIA Report on Intelligence Related to Gulf War Illnesses," Aug. 2, 1996, p. 5, 7.
  3. Office of the Secretary of Defense, News release, Subject: "Pentagon Receives Computer Modeling Progress Report," Dec. 20, 1996.
  4. Institute for Defense Analyses, Letter with attachment, "Report of the Panel Reviewing Analysis of the Khamisiyah Pit Release of Nerve Agent, March 1991," July 9, 1997, p. 6-7.
  5. Special Assistant for Gulf War Illnesses, Statement before the Subcommittee on Human Resources, House Committee on Government Reform and Oversight, June 26, 1997.
  6. Defense Intelligence Agency, Intelligence Information Report 1 778 0146 91, "Overview of Iraqi Weapons Industry Establishments," 1991, p. 2.
  7. "The Biological and Chemical Warfare Threat," Washington, DC: U.S. Government Printing Office, 1999, p. 32.
  8. United Nations, "UN Press Release on Muthanna Inspection," June 24, 1991, p. 1.
  9. Defense Intelligence Agency, Intelligence Information Report 1 778 0146 91, "Overview of Iraqi Weapons Industry Establishments," 1991, p. 2.
  10. United Nations, "UN Press Release on Muthanna Inspection," June 24, 1991, p. 3.
  11. Defense Intelligence Agency, Message, Subject: "IIR 2 201 0022 92/Inspection of Chemical Warfare Facilities (U)," [redacted], 021441Z Oct 91, p. 2.
  12. Defense Intelligence Agency, Message, Subject: "IIR 2 201 0022 92/Inspection of Chemical Warfare Facilities (U)," [redacted], 021441Z Oct 91, p. 2.
  13. United Nations, The United Nations Blue Book Series, Volume IX, "The United Nations and the Iraq-Kuwait Conflict, 1990-1996," Document 189, "Seventh Report of the Executive Chairman of UNSCOM, " New York, NY: United Nations, Department of Public Information, 1996, p. 356.
  14. United Nations, "UN Press Release on Muthanna Inspection," June 24, 1991, p. 3.
  15. Defense Intelligence Agency, Message, Subject: "Samarra CW Rsch Prod A Stor Fac," 251431Z Sep 90, p. 2.
  16. Defense Intelligence Agency, Message, Subject: "IIR 2 201 0022 92/Inspection of Chemical Warfare Facilities (U)," [redacted], 021441Z Oct 91, p. 2.
  17. Defense Intelligence Agency, Message, Subject: "Iraqi Chemical Warfare (CW) Facilities and Storage Areas," 281930Z Dec 90, p.1.
  18. Director of Central Intelligence, Letter, Subject: "Re-Assessment of Maximum Release of Agent From Cruciform Bunker 2 at Al Muthanna," Enclosure 1, Feb. 17, 1999; This figure was derived from Director of Central Intelligence, Letter with pictures for release, Figure 2, February 17, 1999.
  19. Defense Intelligence Agency, Message, Subject: "Report on CW Facilities at Samarra and Habbaniyah," 140205Z Mar 91, p. 2.
  20. Rathmell, Dr. Andrew, "Chemical Weapons in the Middle East - Lessons from Iraq," Jane's Intelligence Review, December 1, 1995, p. 556.
  21. Defense Intelligence Agency, Message, Subject: "IIR 2 201 0022 92/Inspection of Chemical Warfare Facilities (U)," [redacted], 021441Z Oct 91, p. 3.
  22. Gordon, Andrew and Bernard Trainor, The Generals' War: The Inside Story of the Conflict in the Gulf, New York: Little, Brown and Company, 1995, p. 183.
  23. Defense Intelligence Agency, Message, Subject: "IIR 2 201 0022 92/Inspection of Chemical Warfare Facilities (U)," [redacted], 021441Z Oct 91, p. 3.
  24. Central Intelligence Agency, Message, Subject: "Summary of Iraqi Chemical Warfare Activity," [redacted], September 1990, p. 2.
  25. Duelfer, Charles, United Nations Special Commission representative, Testimony before the Presidential Advisory Committee on Gulf War Veterans' Illnesses, July 29, 1997, p. 47.
  26. Defense Intelligence Agency, Intelligence Information Report 6 021 0196 96, "Iraqi Fallujah, Khamisiyah, and An Nasiriyah Chemical Warfare Related Sites," May 22, 1996, p. 2, 5.
  27. Duelfer, Charles, United Nations Special Commission representative, Testimony before the Presidential Advisory Committee on Gulf War Veterans' Illnesses, July 29, 1997, p. 48, 51.
  28. Director of Central Intelligence, Letter, Subject: "Re-Assessment of Maximum Release of Agent From Cruciform Bunker 2 at Al Muthanna," Enclosure 1, February 17, 1999.
  29. Central Intelligence Agency, Message, Subject: "Iraqi Declaration," [redacted] undated, p. 1.
  30. Defense Intelligence Agency, Message, Subject: "IIR 2 201 0022 92/Inspection of Chemical Warfare Facilities (U)," [redacted], 021441Z Oct 91, p. 3.
  31. Rathmell, Dr. Andrew, "Chemical Weapons in the Middle East - Lessons from Iraq," Jane's Intelligence Review, Dec. 1, 1995, p. 556.
  32. Director of Central Intelligence, Letter. Enclosure 1, Subject: "Re-Assessment of Maximum Release of Agent From Cruciform Bunker 2 at Al Muthanna;" February 17, 1999; Director of Central Intelligence, Letter to the Special Assistant for Gulf War Illnesses, Attachment, October 14, 1999. The CIA estimated the maximum filled weight of the munitions in Bunker 2 when destroyed totaled 8.9 metric tons. It assumed the purity of the sarin filler was 18 percent, the maximum purity UNSCOM measured for sarin produced during the Iran-Iraq War, leaving 1.6 metric tons of viable sarin (8.9 tons times 18 percent purity). CIA modeling indicated less than one kilogram of sarin vented into the atmosphere from Bunker 2 before the extreme temperature destroyed all viable agent. The CIA used these data, but increased the estimated total release to 10 kilograms to account for early release uncertainties and rockets possibly flying out of the bunker in the explosion.
  33. General Accounting Office, Report to the Ranking Minority Member, Committee on Commerce, House of Representatives, "Operation Desert Storm, Evaluation of the Air Campaign," June 1997, p. 140.
  34. Center for Naval Analysis, E-mail message, Subject: "Manned Aircraft Attacks on Al Muthanna," June 2, 1998.
  35. Military Analysis Network, web site www.fas.org/man/dod-101/sys/smart/gbu-10.htm (as of October 24, 2001).
  36. Military Analysis Network, web site www.fas.org/man/dod-101/sys/dumb/mk84.htm (as of October 24, 2001).
  37. US Navy, Navy Fact File A-6E Intruder, web site www.chinfo.navy.mil/navpalib/factfile/aircraft/air-a6.html (as of November 8, 2001).
  38. General Accounting Office, Report to the Ranking Minority Member, Committee on Commerce, House of Representatives, "Operation Desert Storm, Evaluation of the Air Campaign," June 1997, p.123.
  39. US Air Force, web site www.af.mil/news/factsheets/F_117A_Nighthawk.html (as of Oct. 24, 2001).
  40. Shepko, Michael J., Center for Naval Analysis Briefing, Subject: "Qubaysah Ammunition Storage and SCUD Depot," undated.
  41. Jane's for Intelink, Jane's Air-Launched Weapons 1999, "Bombs, United States of America," p. 28, 31. GBU-10s and GBU-27s are precision-guided munitions delivered from US aircraft.
  42. Military Analysis Network, web site www.fas.org/man/dod-101/sys/smart/gbu-27.htm (as of October 24, 2001).
  43. 37th Tactical Fighter Wing, Provisional intelligence message, Subject: "37 TFW Combat Mission Report - 3323B (U)," 080337Z FEB 91, p. 1.
  44. Defense Intelligence Agency, Video, Subject: "KX 7284, Day 23 (F-117), Samarra (U)," (SECRET).
  45. Defense Intelligence Agency, Video, Subject: "KX 7284, Day 23 (F-117), Samarra (U)," (SECRET). This videotape was copied from the WEAPDA database.
  46. Weapons Effects and Performance Data Archival database, Compact disc 232, file 5409; disc 234, files 5451, 5453, and 5454; and disc 248.
  47. Joint Publication 1-02, "Department of Defense Dictionary of Military and Associated Terms," Washington, DC: The Joint Staff, April 12, 2001, p.50 web site www.dtic.mil/doctrine/jel/new_pubs/jp1_02.pdf (as of Nov. 7, 2001).
  48. Defense Intelligence Agency, Message, Subject: "BDA 81-91," [redacted], March 22, 1991, p. 4.
  49. Defense Intelligence Agency, Message, Subject: "Samarra CW Rsch Prod A Stor Fac," 110611Z Feb 91, p. 1.
  50. Explosive Ordnance Disposal Report, AFTO Form 358, Subject: "4401 ARG(P) United Nations Chemical Inspection Team (UNSCOM 17,18) Chemical Ordnance Disposal Report," Nov. 23, 1991, p. 9.
  51. Joint Staff, Message, Subject: "IIR 6 021 0004 91/Condition of CW Storage Bunkers at the Muthanna State Establishment (U)," [redacted] 021321Z Jul 91, p. 2.
  52. Explosive Ordnance Disposal Report, AFTO Form 358, Subject: "4401 ARG(P) United Nations Chemical Inspection Team (UNSCOM 17,18) Chemical Ordnance Disposal Report," Nov. 23, 1991, p. 5.
  53. United Nations, The United Nations Blue Book Series, Volume IX, "The United Nations and the Iraq-Kuwait Conflict, 1990-1996," Document 189, "Seventh Report of the Executive Chairman of UNSCOM," New York, NY: United Nations, Department of Public Information, 1996, p. 356.
  54. Central Intelligence Agency, Office of Weapons, Technology and Proliferation, "CIA Report on Intelligence Related to Gulf War Illnesses," McLean, VA: U.S. Central Intelligence Agency, August 1996, p. 7.
  55. Director of Central Intelligence, Letter, Enclosure 1. Subject: "Re-Assessment of Maximum Release of Agent From Cruciform Bunker 2 at Al Muthanna," , February 17, 1999; Director of Central Intelligence, Letter to the Special Assistant for Gulf War Illnesses, Attachment, October 14, 1999. The CIA estimated the maximum number of rockets in Bunker 2 when destroyed was 1,500. It assumed the purity of the sarin filler was 18 percent. Modeling conducted for CIA indicated less than one kilogram of sarin escaped from Bunker 2 before the extreme temperature destroyed all viable agent before it vented into the atmosphere. The CIA used these data, but increased the estimated total release to 10 kilograms to account for early release uncertainties and rockets possibly flying out of the bunker in the explosion.
  56. Director of Central Intelligence, Letter, Subject: "Re-Assessment of Maximum Release of Agent From Cruciform Bunker 2 at Al Muthanna," Enclosure 1, Feb. 17, 1999.
  57. Director of Central Intelligence, Letter, Subject: "Re-Assessment of Maximum Release of Agent From Cruciform Bunker 2 at Al Muthanna," Enclosure 1, Feb. 17, 1999.
  58. Director of Central Intelligence, Letter, Subject: "Re-Assessment of Maximum Release of Agent From Cruciform Bunker 2 at Al Muthanna," Enclosure 1, Feb. 17, 1999.
  59. Endura Plastics Inc., Thermoplastic Material Selection Guide, web site www.endura.com/material.htm (as of November 7, 2001).
  60. US Army Field Manual 3-9, US Navy Publication P-467, US Air Force Manual 355-7, "Potential Military Chemical/Biological Agents and Compounds," Dec. 12, 1990, Appendix B, p. 96.
  61. Walpole, Robert D, Director of Central Intelligence, Letter to the Special Assistant for Gulf War Illnesses, Attachment, "Assessment of Releases of Chemical Agents From Iraq," October 14, 1999.
  62. US Army Field Manual 3-9, US Navy Publication P-467, US Air Force Manual 355-7, "Potential Military Chemical/Biological Agents and Compounds," Dec. 12, 1990, p. 8.
  63. US Army Field Manual 3-9, US Navy Publication P-467, US Air Force Manual 355-7, "Potential Military Chemical/Biological Agents and Compounds," Dec. 12, 1990, p. 8.
  64. Special Assistant for Gulf War Illnesses, "Methodology of Refined Modeling of the Khamisiyah Pit Demolition," February 23, 2000, p. 10; US Army Center for Health Promotion and Preventive Medicine, Memorandum from the Program Manager, Environmental Health Risk Assessment and Risk Communication, Subject: "Recommendations of Vapor and Inhalation Toxicity Estimates to be Used in Khamisayah Modeling," August 5, 1999.
  65. US Army Field Manual 8-285, US Navy Medical Publication P-5041, US Air Force Manual 44-149, US Marine Corps Fleet Marine Force Manual 11-11 (adopted as NATO Field Manual 8-285), "Treatment Of Chemical Agent Casualties and Conventional Military Chemical Injuries," December 22, 1995, Glossary, Section II, "Definitions and Terms," web site www.nbc-med.org/SiteContent/MedRef/OnlineRef/FieldManuals/fm8_285/PART_I/index.htm (as of October 25, 2001).
  66. US Army, Material Safety Data Sheet, "HQ Mustard," Aberdeen Proving Ground, MD, June 30, 1995, p. 1.web site in1.apgea.army.mil/RDA/msds/index.htm (as of November 7, 2001.)
  67. Joint Publication 1-02, "Department of Defense Dictionary of Military and Associated Terms," Washington, DC: The Joint Staff, April 12, 2001, web site www.dtic.mil/doctrine/jel/new_pubs/jp1_02.pdf (as of November 7, 2001).
  68. Joint Publication 1-02, "Department of Defense Dictionary of Military and Associated Terms," Washington, DC: The Joint Staff, April 12, 2001, web site www.dtic.mil/doctrine/jel/new_pubs/jp1_02.pdf (as of November 7, 2001).
  69. Joint Publication 1-02, "Department of Defense Dictionary of Military and Associated Terms," Washington, DC: The joint Staff, April 12, 2001, web site www.dtic.mil/doctrine/jel/new_pubs/jp1_02.pdf (as of November 7, 2001).
  70. Joint Publication 1-02, "Department of Defense Dictionary of Military and Associated Terms," Washington, DC: The Joint Staff, April 12, 2001, web site www.dtic.mil/doctrine/jel/new_pubs/jp1_02.pdf (as of November 7, 2001).
  71. Joint Publication 1-02, "Department of Defense Dictionary of Military and Associated Terms," Washington, DC: The Joint Staff, April 12, 2001, web site www.dtic.mil/doctrine/jel/new_pubs/jp1_02.pdf (as of November 7, 2001).
  72. European Centre for Medium-Range Weather Forecasts, web site www.ecmwf.int/ (as of Nov. 7, 2001).
  73. US Army Center for Health Promotion and Preventive Medicine, Memorandum from the Program Manager, Environmental Health Risk Assessment and Risk Communication, Subject: "Recommendations of Vapor and Inhalation Toxicity Estimates to be Used in Khamisayah Modeling," Aug. 5, 1999, p. 2.
  74. Joint Publication 1-02, "Department of Defense Dictionary of Military and Associated Terms," Washington, DC: The Joint Staff, April 12, 2001, web site www.dtic.mil/doctrine/jel/new_pubs/jp1_02.pdf (as of November 7, 2001).
  75. US Army, Dugway Proving Ground, "Fact Sheet on Exposure Limits for Sarin (GB)," July 1997, p. 2.
  76. US Army Field Manual 3-9, US Navy Publication P-467, US Air Force Manual 355-7, "Potential Military Chemical/Biological Agents and Compounds," Dec. 12, 1990, Appendix B, p. 38.
  77. Military Analysis Network, web site www.fas.org/man/dod-101/sys/dumb/mk84.htm (as of October 24, 2001).
  78. Pielke, Roger A., Mesoscale Meteorological Modeling, Fort Collins, Colorado: University of Colorado Press, 1984, p. 1.
  79. US Army Field Manual 3-9, US Navy Publication P-467, US Air Force Manual 355-7, "Potential Military Chemical/Biological Agents and Compounds," Dec. 12, 1990, Appendix B, p. 30.
  80. US Army Field Manual 8-285, US Navy Medical Publication P-5041, US Air Force Manual 44-149, US Marine Corps Fleet Marine Force Manual 11-11 (adopted as NATO Field Manual 8-285), "Treatment Of Chemical Agent Casualties and Conventional Military Chemical Injuries," Dec. 22, 1995, Glossary, Section II, "Definitions And Terms," web site www.Nbc-med.org/SiteContent/MedRef/OnlineRef/FieldManuals/fm8_285/PART_I/index.htm (as of Nov. 7, 2001).
  81. US Army, Dugway Proving Ground, "Fact Sheet on Exposure Limits for Sarin (GB)," July 1997, p. 1.
  82. US Army, Pamphlet 385-61, "Toxic Chemical Agent Safety Standards," Washington DC: Headquarters, Department of the Army, March 31, 1997, p. 55.
  83. Joint Publication 1-02, "Department of Defense Dictionary of Military and Associated Terms," Washington, DC: The Joint Staff, April 12, 2001, web site www.dtic.mil/doctrine/jel/new_pubs/jp1_02.pdf (as of November 7, 2001).
  84. US Army Field Manual 3-9, US Navy Publication P-467, US Air Force Manual 355-7, "Potential Military Chemical/Biological Agents and Compounds," Dec. 12, 1990, Chapter 2, p. 19.
  85. Merriam-Webster Dictionary, copyright 1998 by Merriam-Webster, Incorporated, web site www.m-w.com/dictionary (as of Nov. 7, 2001).
  86. Jacobson, Mark Z., Fundamentals of Atmospheric Modeling, Edinburgh: Cambridge University Press, 1999, p. 3.
  87. US Navy, Navy Fact File, Tomahawk Cruise Missile, web site www.chinfo.navy.mil/navpalib/factfile/missiles/web-toma.html (as of Nov. 15, 2001).
  88. "Convention on the Prohibition of the Development, Production, Stockpiling, and Use of Chemical Weapons and on Their Destruction," April 29, 1997. This chemical weapons convention opened for signature in Paris, France, on January 13, 1993. As of June 26, 2001, 174 states have signed, ratified, or acceded to it. The United States signed on Jan. 13, 1993, and ratified the Convention on April 25, 1997. Part XI of the convention, "Investigations in Cases of Alleged Use of Chemical Weapons," details some of the procedures. We found other protocols and guidelines in Methodology and Instrumentation for Sampling and Analysis in the Verification of Chemical Disarmament, The Ministry for Foreign Affairs of Finland, Helsinki, Finland, 1985; Verification Methods, Handling, and Assessment of Unusual Events In Relation To Allegations of the Use of Novel Chemical Warfare Agents, Consultant University of Saskatchewan in conjunction with the Verification Research Unit of External Affairs and International Trade Canada, March 1990; and Handbook for the Investigation of Allegations of the Use of Chemical or Biological Weapons, Department of External Affairs, Department of National Defence, Health and Welfare Canada, and Agriculture Canada, November 1985. U.S. Army Field Manual 3-4, US Marine Corps Fleet Marine Force Manual 11-9, "NBC Protection," May 1992; US Army Field Manual 8-285, US NAVMED P-5041, U.S. Air Force Manual 44-149, U.S. Marine Corps Fleet Marine Force Manual 11-11 (adopted as NATO Field Manual 8-285), "Treatment Of Chemical Agent Casualties and Conventional Military Chemical Injuries," Dec. 22, 1995; U.S. Army Field Manual 19-20, "Law Enforcement Investigations," Nov. 25, 1985; and other DOD investigational procedures contributed ideas in developing this methodology.
  89. Office of the Secretary of Defense, News release, Subject: "Pentagon Receives Computer Modeling Progress Report," Dec. 20, 1996.
  90. Institute for Defense Analyses, Letter with attachment, "Report of the Panel Reviewing Analysis of the Khamisiyah Pit Release of Nerve Agent, March 1991," July 9, 1997.
  91. Anthes, Richard, Steve Hanna, Bruce Hicks, and Will Pendergrass, Report, Subject: "Comments by Peer Review Panel on Khamisiyah Modeling Report and Presentations on Nov. 4-5, 1997," Dec. 11, 1997, p. 2-3.
  92. Climate Diagnostics Center, web site www.cdc.noaa.gov/~crdc/krs_papers/papers/iips95_talk/intro2.htr (as of Nov. 7, 2001).
  93. Center for Ocean-Atmospheric Prediction Studies, web site www.coaps.fsu.edu/WOCE/SAC/models/fnoc.html (as of Nov. 7, 2001).
  94. European Centre for Medium Range Weather Forecasts, website www.ecmwf.int/ (as of Nov. 7, 2001).
  95. Naval Research Laboratory, NRL Library Catalog, website libcat.nrl.navy.mil/uhtbin/cgisirsi/Ec5Y8Sbop7/5758022/60/30026 [if the screen says, "Session has timed out. Please click OK to start a new Webcat session," click OK, and then enter Keyword COAMPS, press the Enter key, then choose box #5 and select "View" for document "Software User's Manual for the Coupled Ocean/Atmosphere Mesoscale Prediction System (COAMPS)"] (as of November 9, 2001).
  96. Science Applications International Corporation, Center for Atmospheric Physics, Operational Multiscale Environment model with Grid Adaptability (Omega), web site www.apo.saic.com/omega/doc/overview/overview.html (as of October 23, 2001).
  97. National Center for Atmospheric Research, MM5 Modeling System Overview, web site www.mmm.ucar.edu/mm5/overview.html (as of Nov. 7, 2001).
  98. See glossary in Tab A for more explanation of the general population limit and the first noticeable effects levels.
  99. Defense Threat Reduction Agency, Promotional brochure, "HPAC, Hazard Prediction and Assessment Capability," undated.
  100. US Navy, Modeling and Simulation Management Office, web site navmsmo.hq.navy.mil/nmsiscat (as of Nov. 7, 2001).
  101. Institute for Defense Analyses, Letter with attachment, "Report of the Panel Reviewing Analysis of the Khamisiyah Pit Release of Nerve Agent, March 1991," July 9, 1997, p. 7, 8.
  102. US Army Center for Health Promotion and Preventive Medicine, web site chppm-www.apgea.army.mil/ (as of Nov. 7, 2001).
  103. General Accounting Office, Report to the Ranking Minority Member, Committee on Commerce, House of Representatives, "Operation Desert Storm, Evaluation of the Air Campaign," June 1997, p. 139.
  104. Department of Defense, Final Report to Congress, "Conduct of the Persian Gulf War," Washington, DC, US Government Printing Office, April 1992, p. 787.
  105. General Accounting Office, Report to the Ranking Minority Member, Committee on Commerce, House of Representatives, "Operation Desert Storm, Evaluation of the Air Campaign," June 1997, p. 140.
  106. Center for Naval Analysis, E-mail message, Subject: "Manned Aircraft Attacks on Al Muthanna," June 2, 1998.
  107. General Accounting Office, Report to the Ranking Minority Member, Committee on Commerce, House of Representatives, "Operation Desert Storm, Evaluation of the Air Campaign," June 1997, p. 124-125.
  108. General Accounting Office, Report to the Ranking Minority Member, Committee on Commerce, House of Representatives, "Operation Desert Storm, Evaluation of the Air Campaign," June 1997, p. 127.
  109. Office of the Special Assistant for Gulf War Illnesses, Memo for Record, Subject: "Al Muthanna Strike Process," June 2, 1998.
  110. Center for Naval Analysis, E-mail message, Subject: "Manned Aircraft Attacks on Al Muthanna," June 2, 1998.
  111. 37th Tactical Fighter Wing, Message, Subject: "Combat Mission Reports (U), Mission Number: 3323B, Call Sign: Thunder 23," 080337Z Feb 91, p. 1.
  112. Office of the Special Assistant for Gulf War Illnesses, Memo for Record, Subject: "Al Muthanna Strike Process," June 2, 1998.